
摘要:针对当前城轨车辆车轮踏面磨耗人工检测劳动强度高、检测精度低的问题,提出一种基于激光位移传感器的车轮踏面磨耗检测方法。首先在轨道外侧安装一组激光位移传感器进行车轮踏面数据采集;其次结合标准轮对踏面轮廓数据,采用数据预处理、坐标旋转、数据融合等算法获取实际车轮踏面轮廓线;最后根据踏面磨耗几何关系获得车轮踏面磨耗值。通过踏面磨耗检测误差分析以及现场标准轮对实验和过车实验表明,所提方法检测精度为±0.2mm,抗干扰能力强,能够满足踏面磨耗检测实际要求。
关键词:城轨车辆;踏面磨耗;激光位移传感器;误差分析;标准车轮轮廓
1 概述
车轮踏面磨耗是城轨车辆安全运行的重要参数,检测车轮踏面磨耗对保障列车行车安全有着重要意义。随着列车运营里程的增加,车轮踏面磨耗不均匀以及磨耗速率增大导致车轮轮径值变化较大,降低了列车运行的安全性和舒适性,因此定期对车轮踏面磨耗进行检测,获得准确的磨耗值进而判断是否超限,对于保证列车安全运营十分重要。
目前车轮踏面磨耗检测主要分为接触式测量和非接触式测量两种方法。接触式检测以车轮直径测量仪为主,检测精度受人为因素影响较大,但因其操作简单,目前仍是踏面磨耗测量的主要方法。非接触式检测主要分为图像法和激光法。图像法通过CCD相机拍摄车轮踏面,经过图像处理得到车轮踏面轮廓信息,实现车轮踏面磨耗检测,但该方法的系统结构复杂、抗干扰能力较低。随着激光技术的快速发展,城轨车辆踏面磨耗检测研究取得较大进展。
本文提出一种基于激光位移传感器的车轮踏面磨耗检测方法:2D激光位移传感器安装于轨道外侧对车轮踏面轮廓进行探测,结合标准车轮轮廓线重构车轮实际轮廓线,进而由车轮轮廓几何关系得到车轮轮缘高度,实现车轮踏面磨耗检测。
2 踏面磨耗检测方案
城轨车辆车轮轮廓线由踏面和轮缘两部分组成,车轮滚压在钢轨上的接触部分称为踏面,车轮踏面内侧有一圆周突起的凸缘称为轮缘。踏面上距离轮缘内侧基准线70mm点与轮缘最低点高度差称为轮缘高度,且实际轮缘高度与标准轮缘高度之差定义为踏面磨耗。
列车在运行过程中,只有与钢轨接触的车轮踏面才会发生磨耗,轮缘顶端、靠近外侧基准线踏面极少有磨耗发生,因而一般认为轮缘顶端和靠近外侧基准线踏面保持不变。基于激光位移传感器踏面磨耗检测系统,采用一组2D激光位移传感器对车轮踏面轮廓进行探测,结合标准轮廓线重构车轮实际轮廓线,实现车轮踏面磨耗检测。传感器安装示意如图1所示。2D激光位移传感器安装于轨道两侧,激光位移传感器三角探测区域中心线与钢轨铅垂线夹角为传感器偏转角β,与钢轨水平方向的夹角为俯仰角α,且与钢轨的相对距离均为L。系统安装高度均低于钢轨平面,偏转角和俯仰角均为45°,与钢轨的相对距离L为100~300mm。

图1传感器安装示意
3 踏面磨耗检测算法
当车轮轴位传感器检测到列车经过检测系统时,触发激光位移传感器上电工作,传感器采集车轮踏面轮廓数据,并将采集的数据经过数据预处理、坐标旋转、数据融合及最优踏面选择等算法处理实现车轮踏面磨耗检测。
3.1 数据预处理
当车轮轴位传感器检测到列车经过系统时,2D激光位移传感器以50Hz采样频率采集车轮踏面轮廓数据,对采集的车轮数据进行分轮处理,提取6节车厢48个车轮每个车轮对应的有效数据段。通过分析激光位移传感器输出有效值点数发现:车轮在即将进入或离开检测区域时输出点数有明显的上升或下降,而车轮处于传感器检测区域时输出点数处于较为稳定的峰值状态,则根据传感器输出点数分布规律即可进行各个车轮所对应的数据分段。在实际工程应用中发现:在列车司机进行制动操作时,传感器会探测到车轮刹车片和轴箱等车底装置,该类数据与车轮轮廓数据无关,影响车轮轮廓数据分析,应在数据分段时将该类数据直接滤除,实现数据预处理。
3.2 坐标旋转
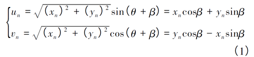
图1中激光位移传感器激光线与钢轨存在偏转角β,传感器采集得到的车轮踏面数据必然会发生畸变,因而将传感器输出的原始数据进行坐标旋转,以矫正变形的踏面轮廓曲线。根据传感器实际安装位置参数值,通过坐标旋转实现传感器自身坐标系xoy到踏面基准坐标系uov的转换。坐标旋转示意如图2所示,激光位移传感器分别按照式(1)进行坐标旋转。

图2坐标旋转变换过程

式中,(xn,yn)为探测点在传感器自身坐标系xoy上的坐标;θ为传感器的探测点与y轴的夹角;(un,vn)为坐标旋转后传感器探测点在踏面基准坐标系uov中的坐标值。
3.3 数据融合
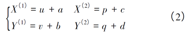
本文采用一组2D激光位移传感器只能获取车轮磨耗踏面轮廓线和车轮外侧基准线,无法探测轮缘及内侧基准线,且轮缘顶端极少磨耗,形状保持不变,因此需要将车轮标准轮廓数据与传感器采集车轮踏面数据进行融合,获取完整的车轮轮廓曲线。激光位移传感器的踏面基准坐标系uov和车轮标准轮廓坐标系pwq与融合坐标系XOY关系如图3所示。图3中,数据融合主要分为坐标系移动、基准线融合及轮缘数据融合3部分。

图3各坐标系关系示意
(1)坐标系移动
将坐标系uov和pwq移动到融合坐标系中,坐标系移动公式如公式(2)所示

式中,a、b分别为点o在坐标系XOY下的横纵坐标;c、d分别为点w在坐标系XOY下的横纵坐标。
(2)基准线融合
在融合坐标系XOY中,传感器探测的车轮外侧基准线横坐标与标准车轮外侧基准线横坐标差值为ΔX,根据公式(3)将两基准线融合
![]()
(3)轮缘数据融合
取传感器探测的轮缘顶端数据进行最小二乘多项式曲线拟合,与标准车轮轮缘顶端曲线进行差值比较,以二者误差均值来表示轮缘数据的融合效果。根据误差均值,在Y轴方向上调整传感器探测的踏面与标准车轮踏面之间的距离ΔY,当均值误差小于0.03mm时,得到ΔY的最终值。根据公式(4)进行轮缘数据融合
![]()
根据踏面检测原理,对融合后车轮轮廓数据进行分段曲线拟合,提取踏面上距离轮缘内侧基准线70mm点与轮缘最低点求出轮缘高,结合标准轮缘高度得到车轮踏面磨耗值。车轮在经过传感器有效检测区域时,由于列车运行速度和传感器采样频率的不同,激光位移传感器会输出多组数据,进而得到多组踏面磨耗值,需要对其进行择优选取,提高系统检测精度。
3. 4 最佳踏面选择
车轮在经过传感器有效检测区域时,系统采集多组踏面磨耗数据,需进行关键踏面数据选择以提高系统精度。当车轮偏离中间位置,即此时车轮探测面并未通过轮心,测得的踏面形状会发生一定拉伸变形。
假设车轮在某采样时刻,传感器激光探测面未经过轮心,但在下一采样时刻超过了轮心,即在两次采样间隔中传感器探测面已过轮心,如图4所示,则激光探测面经过车轮轮心所测轮缘高度为BC,未经过车轮轮心所测轮缘高度为B1C1,且B1C1>BC,因而本文选取轮缘高最小值那组数据作为最佳踏面数据,用于计算车轮踏面磨耗。

图4相邻采样时刻的激光线与理想轮心关系
4 轮缘磨耗检测误差分析
基于激光位移传感器的车轮磨耗检测系统误差主要由传感器偏转角度、传感器精度、激光探测面不过轮心及数据融合误差组成,为了满足现场0.2mm检测精度,采用计算机仿真方式,对车轮踏面磨耗进行分析。仿真所用车轮的轮缘高为28.6mm,标准轮缘高为28mm,即踏面磨耗为0.6mm。
4. 1 传感器偏转角
在踏面磨耗检测过程中,需要对传感器输出数据进行坐标旋转,其中传感器偏转角β是进行坐标旋转的关键参数。由于传感器底座加工精度以及安装等不确定性因素,将会使传感器实际偏转角β出现偏差,即偏转角存在偏差Δβ。当传感器偏转角存在Δβ偏差时,传感器输出数据经坐标旋转变换后,踏面会发生整体偏移错位,如图5所示,将会对踏面磨耗检测产生较大影响。

图5传感器偏转角偏差导致的轮廓线整体错位
假设传感器精度等其他因素均保持不变,仅传感器偏转角出现偏差变化,采用计算机仿真进行踏面磨耗误差分析。传感器偏转角偏差Δβ在[-0.1°0.1°]范围内,以0.01°步长仿真计算踏面磨耗偏ΔFh,仿真结果如图6所示。

图6传感器偏转角偏差与踏面磨耗偏差关系
当传感器偏转角存在偏差时,踏面磨耗与偏转角偏差为正相关,采用一阶曲线拟合踏面磨耗偏差与偏转角偏差的关系
![]()
因此,在不考虑其他影响因素情况下,为保证踏面磨耗检测误差低于0.2mm,则传感器偏转角偏差应保证在±0.03°范围内。
4.2 传感器精度
在踏面磨耗检测过程中,踏面磨耗检测精度受传感器精度的影响。同等环境条件下,激光传感器精度越高,则踏面磨耗检测精度越高。检测系统所用传感器两个维度精度均为0.1mm。采用仿真数据分析传感器精度对踏面磨耗检测误差的影响,结果如图7所示。

图7传感器精度对踏面磨耗检测误差的影响
由图7可知,踏面磨耗最大偏差为0.0458mm,平均值为0.005951mm,标准差为0.0252mm。因而所选激光位移传感器精度满足踏面磨耗检测精度要求。
4.3 探测面不过轮心
根据轮缘尺寸检测工艺要求,激光传感器发射的激光探测面应通过轮心,但在实际工程中选取了激光线到车轮轮心距离最短的检测数据进行轮缘高度计算从而导致拉伸效应的存在,拉伸效应对轮缘高度检测产生影响。
图4中,Δx为采样间隔内车轮经过的距离,O表示激光探测面过轮心的理想轮心点,O'表示激光探测面未过轮心的参考轮心点,则由拉伸效应造成的轮缘高度误差e为

在车轮实际使用中,轮缘高参数范围一般在[28mm35mm]之间,因此图8给出了对应不同轮缘高度情况下,距离d与轮缘高误差e之间的对应关系描述。图中,最上面的一条曲线描述了轮缘高为35mm的对应关系,最下面一条曲线描述了轮缘高为28mm的对应关系。当距离d=0时,轮缘高误差e=0,随着距离d增大,轮缘误差e也随之增大。

图8激光线到理想轮心距离d与轮缘高测量误差关系
踏面磨耗检测系统采样频率为50Hz,车速为3km/h,则该系统最大距离d=5.869mm,则对应最大轮缘高测量为0.0033mm。
4.4 数据融合
在数据融合过程中,ΔX会存在水平距离偏差ΔDx,ΔY会存在垂直距离偏差ΔDY。当存在ΔDx和偏差ΔDY时,车轮踏面数据分别沿水平、垂直方向拉伸,影响轮缘高检测精度。
假设偏转角等其他因素均保持不变,仅存在数据融合误差,采用计算机仿真进行踏面磨耗误差分析。
(1)传感器水平距离偏差误差分析
对水平距离偏差ΔDx在范围[-0.2mm 0.2mm]内,以0.02mm步长仿真计算踏面磨耗误差ΔFh,计算结果如表1所示。从表1可知,当数据融合存在水平距离偏差时,踏面磨耗的误差最大为0.01mm,从而认为水平距离偏差对踏面磨耗的影响很小,可以忽略不计。

(2)传感器垂直距离偏差误差分析
对垂直距离偏差ΔDY在范围[-0.5mm 0.5mm]内,以0.05mm步长仿真计算踏面磨耗误差ΔFh,计算结果见表2。从表2知,当数据融合存在垂直距离偏差时,踏面磨耗最大偏差为0.25mm,且误差差值与处置距离偏差正相关。

采用一阶曲线拟合轮缘高偏差ΔFh与垂直距离偏差ΔDY关系为
![]()
因此,在不考虑其他影响因素情况下,为保证踏面磨耗检测误差低于0.2mm,则垂直距离偏差应在±0.40mm范围内。
5 实验与分析
为验证车轮踏面磨耗检测方法有效性和精度,系统在广州地铁赤沙车辆段进行了现场试验,包括标准轮对实验和过车实验。踏面磨耗值为标准轮缘高与实际车轮轮缘高差值,因此踏面磨耗检测精度等同于轮缘高检测精度,为方便研究,实验结果均从轮缘高角度进行分析。
在标准轮对实验中,所选用标准轮对轮缘高为28mm,将标准轮对放置在轨道上,人工推动轮对慢速通过检测系统,沿同一方向共进行7次系统测量,实验结果如表3所示。

由表3得到标准轮对实验系统最大误差为0.12mm,实验结果满足踏面磨耗检测精度±0.2mm。
在过车实验中,选用广州地铁8号线A2型列车7172次B、C两节车厢8个车轮进行多次轮缘高检测,将多次测量结果均值作为该车轮的轮缘高系统测量值,测量结果如图9所示。图9中,轮缘高系统测量均值与人工测量均值之差都在0.2mm范围内,证明本文所提方法检测满足现场检测需求。

图9轮缘高系统测量均值与人工均值比较
6 结论
本文提出一种基于激光位移传感器车轮磨耗检测方法,实现车轮踏面磨耗高精度检测。通过在轨道外侧安装一组2D激光位移传感器探测车轮踏面轮廓,采用数据预处理、坐标旋转、数据融合以及最优踏面选择等算法,实现车轮实际轮廓线重构,并经过车轮轮廓几何关系得到车轮轮缘高度,从而得到车轮踏面磨耗值。标准轮对实验和过车实验表明所提方法检测精度可达±0.2mm,能够满足现场检修需求。
论文标题:Detectionon Wheel Tread Wear Based on Laser Displacement Sensor

