摘要:介绍了光谱共焦位移传感器的结构与原理,及其在测量厚度方面的应用,重点讨论了光谱共焦位移传感器用于测量透明材料平行平板厚度的可行性,对其产生的误差进行了详细的分析,并给出了相应的补偿方法。
关键词:光谱共焦;位移传感器;色散系数
1 引言
目前,非接触式的精密测量位移装置有共焦位移传感器,激光三角法位移传感器、电容式传感器、电感式传感器等。它们具有适应性强、速度快、精度高等特点,适用于检测各种回转体、箱体零件的尺寸和形位误差。并且可以与快速反馈跟踪系统配合使用,能够准确快速地测出表面的形状与轮廓。它们克服了接触式检测的诸多缺点,既提高了检测速度,又保护了被测工件表面免受划伤及防止传感器变形。
光谱共焦传感器是采用复色光为光源的传感器,其测量精度能够达到微米量级,可用于对漫反射或镜反射被测物体的测量。此外,光谱共焦位移传感器还可以对透明物体进行单向厚度测量,光源和接收光镜为同轴结构,有效地避免了光路遮挡,并使传感器适于测量直径4.5mm以上的孔及凹槽的内部结构。
例如,创视智能TS-C系列光谱共焦传感器由两部分组成,分别是控制器和探头。这两部分采用光纤电缆进行连接,其长度可达50m。与配有旋转光镜的传感器相比,该智能传感器具有无磨损式测量特性,可应用在有防爆要求的测量环境内。
但是,光谱共焦位移传感器在测量透明物体的位移时,由于被测物体的上、下两个表面都会反射,而传感器接收到的位移信号是通过其上表面计算出来的,从而会引起一定的误差。本文基于测量平行平板的位移,对其进行了误差分析。
2 光谱共焦位移传感器原理
光谱共焦位移传感器原理如图1所示,它由光源、透镜组、光谱仪等组成。光源发出的多色光(呈白光)通过探头中一系列的光镜组后,就会产生光谱色散,再经过一系列的光学反射后,便形成不同波长的单色光;然后在光轴的一定范围内聚焦,并且形成一个连续的焦点组,由传感器接收到每个焦点的反射信号,从而确定每个单色光波长对应的相应位置。还可以在高灵敏感光片上成像,通过单色仪读出单色波的波长,然后将其换算成为对应的距离值,通过控制箱中的光电组件识别并最终得到样品的轴向位置。采用高数值孔径的聚焦镜头可以使传感器达到较高的分辨率(轴向<10nm,横向<5µm)。
正是基于这种独特的原理,使得光谱共焦位移传感器在位移测量上拥有高精度,不论是单层透明物体还是多层透明物体,除了能够测量该物体位移,还可以测量其厚度。如薄玻璃片,平行平板等。平行平板的前后表面都会反射特定波长的光,在单色仪上获得的是出现两个峰值的光谱曲线,通过这两个峰值可以推算出玻璃的厚度。

图1 光谱共焦位移传感器原理图
在实践中,光谱共焦位移传感器可用于很多方面,如:
(1)利用独特的光谱共焦测量原理,凭借一只探头就可以实现对玻璃等透明材料进行精确的单向厚度测量。
(2)光谱共焦位移传感器有效监控药剂盘以及铝塑泡罩包装的填充量。
(3)可以使传感器完成对被测表面的精确扫描,实现纳米级的分辨率。
(4)光谱共焦传感器可以单向对试剂瓶的壁厚进行测量:,而且对瓶壁没有压力。
(5)可通过设计转向反射镜实现孔壁的结构检测及凹槽深度的测盘。(创视智能已推出了90°侧向出光版本探头,可以直接进行深孔和凹槽的测量)
(6)光谱共焦传感器用于层和玻璃间隙测且,以确定单层玻璃之间的间隙厚度。
除了适于完成常规测量任务外,凭借大安装倾角与大安装距离,该产品应用广泛,不仅可完成对镜面及透明物体的常规测量,还可以完成对薄膜、平板、镀层等的单向厚度测量。
3 光谱共焦位移传感器的误差分析
光谱共焦位移传感器可以精确测量物体的位移,但在测试透明物体的厚度时,由于透明材料的折射率不同将产生不同的误差。其误差分析如下:
如图2所示,白光入射到一个折射率为n、厚度为D1的平面平行板。光线需要满足如下条件:如果没有平面平行板,则该光线会与光轴交于点A0,如果有平面平行板,光线会与光轴交于A1点。波长为λ1、λ2的单色光通过一定的入射角入射到平行平板。

图2 平行平板光路分析图
在进行平行平板位移测量时,其初始位置为平行平板的上表面,此时传感器接收到的为波长为λl、λ2的单色光信号,移动后平行平板到达距其下表面D2的位置时,传感器接收到的是仍包含λ2的信号,其误差为△=D2。
由斯涅耳折射定律可知:

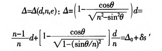
假定以小角入射,并对上式做泰勒展开,取其前两项得:

而△是与波长有关的函数,所以可知:.

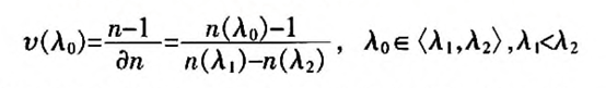
设该平行平板的色散系数为:

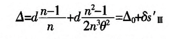
当其最大人射角为20°时,可以将上述公式简写为:

,其中vd为平行平板的色散系数。
由于材料的折射率以及色散系数均已经求出,就可以计算出该光谱共焦传感器的测量误差。其误差范围大约在0.005mm左右。
4 结论
综上所述,光谱共焦位移传感器具有很多方面的应用,尤其测量透明物体的厚面方面有独特的优势,而且可以通过补偿的方法实现较高的分辨率。
参考文献
[1] 朱万彬,钟俊,莫仁芸,等.光谱共焦位移传感器物镜设计[J].光电工程,2010,37(8):62-66.
[2] 杨蒙生,刑丕峰,高党忠,等基于双共焦传感器的薄膜厚度测量技术[J].原子能科学技术,2010,44(9):576-578.
[3] Miks A, Novak J, Novak P. Analysis of methodfor measuring thickness of plane-parallel plates and lenses using chromaticconfocal sensor [J]. Applied Optics , 2010, 49(17): 3259-3264.

