摘要:为了精确测量薄板类材料的厚度,分析了双光路激光三角法测厚原理,建立了一种单镜头激光三角法厚度测量系统。该系统以半导体激光器为光源,配以单镜头成像系统、图像采集与数据处理系统。描述了系统的检测原理、检测方法和实验装置,讨论了激光器光束轴心线与成像透镜光轴夹角与系统分辨率的关系,并基于最小二乘法拟合得出了光斑距离与被测物厚度的函数关系式,最后通过标定实验对系统精度进行了实验论证。结果表明,该系统消除了双光路激光三角法上下测量系统难以同步的问题,分辨率高,精度控制在10µm,良好地满足了工业测量的需求。
关键词:测量与计量;激光测厚;重心法;分辨率
引言
随着机械加工技术和材料成型技术的发展,板材类材料制造精度越来越高,这也对厚度测量设备的检测精度提出了更高的要求,实现高精度的在线测量能为材料加工行业的发展提供有力的支撑。在线测量技术不仅能提高生产线的自动化程度,而且能大大提高产品质量的稳定性、减少原材料的消耗、减少手工测量造成的人为干扰因素和误差。
一般的在线测量手段采用X射线或超声波作为测量媒介,其造价高或对人体有害。近年来,激光三角法以其测量速度快、健康环保、安装调试方便的优点得到了广泛应用。已实现工业应用的激光检测手段其原理基于双光路激光三角法,该检测设备上下探头离被测物距离较大,量程大且可满足较高温度被测物的厚度测量。但被测物上下振动时,其上下独立测量系统难以同步,测量精度难以保证。
本文中研究的测厚模型基于直射性激光三角法测位移原理,采用上下对称布置的两个半导体激光器作为光源,采用两片同轴布置的成像透镜将光线汇聚到一个图像探测器上,测量过程中,图像采集和数据处理过程始终同步,消除了双光路激光三角法测厚模型上下测量系统难以同步的问题。同时,激光器光束中心线与成像透镜入射光束轴心线夹角大,测量系统的分辨率高。
1 工作原理
1.1 直射型激光三角法测位移原理

Fig.1 Schemesof perpendicular laser triangulation
直射型激光三角法光路示意图如图1所示。激光器、成像透镜和图像探测器三者位置关系满足Scheimpflug成像条件。处于铅垂线方向的激光器发出的光线聚焦到被测物上表面后,漫反射光线经过成像透镜后汇聚在图像探测器上,当被测物从图示标定平面移动ΔH距离达到标定平面上方某一位置时,图像探测器上的光斑会相应移动ΔH1的距离,二者之间的函数关系式可由相似三角形关系推导出:

式中,α为激光器光束轴心线与成像透镜光轴的夹角;γ为图像探测器感光面所在的平面与成像透镜光轴的夹角;d1为成像透镜光轴上的等效物距;d0为成像透镜光轴上的等效像距;ΔH为被测物表面移动距离;ΔH1为图像探测器感光面上光斑移动距离。
整理可得,当图像探测器上光斑移动ΔH1距离时,被测物表面移动距离ΔH的表达式为:

通过图像处理得到图像探测器上光斑移动距离ΔH的值,即可求出被测物的真实位移值。
1.2 双光路激光三角法测厚原理

Fig.2 Schemesof double laser triangulation
双光路激光三角法测厚度的光路示意图如图2所示。其光路结构可视为由两个上下对称布置的直射型激光三角法光路组成,被测物的上下表面可看作两个相对参考平面,分别移动的距离为H1和H2,其厚度表达式为:H=H1+H2,由前面所述知识及公式推导可得:


式中,ΔH1和ΔH2分别为H1和H2对应的光斑移动距离。此时,被测物厚度表达式为:

1.3 测厚原理及特点
由几何光学知识可知,光学系统近轴区内可视为理想光学系统,在近轴区内,理想光学系统的垂轴放大率β定义为像的大小与物体的大小之比。图3为本测量系统等效光路图。图4为理想光学系统成像示意图。如图4所示,被测物上下表面的光斑可分别视为相对于参考平面上方和下方高度为h1和h2的两个物体,在成像透镜后方所成像的像高分别为Δh1和Δh2,有:Δh1=βh1,Δh2=βh2。于是有(Δh1+Δh2)=β(h1+h2),式中,(h1+h2)即为被测物的实际厚度,(Δh1+Δh2)即为图像探测器感光面上下两光斑之间的距离。

Fig.3 Schemesof light path

Fig.4 Schemesof ideal optical imaging system

Fig.5 Cahnet drawing of light path schemes
图5是光路示意图的斜二轴测图。在图5中,上下激光器分别发射1束光束经激光器前端透镜聚焦到被测物上下表面形成两个光斑,漫反射光线通过组合透镜汇聚到图像探测器感光面上形成两个成像光斑,由前述推导可知,被测物上下表面两光斑的间距与图像探测器感光面上的两成像光斑的间距成线性关系,通过图像处理提取两成像光斑的重心,并计算重心之间的距离,对测量系统进行标定后,便可计算出膜上下光斑之间的距离。膜上下两光斑的距离即认定为被测物的厚度。

Fig.6 Schemesof measuring mode
图6为测量方式示意图。测量位置选择传送装置的滚轮附近,因为滚轮附近被测物晃动较小,因晃动造成的物面倾斜角度也较小,物面倾斜带来的误差也较小。测厚设备可采用手持的方式也可固定在某一测量位置,沿板材的宽度方向移动U型架可实现板材厚度沿宽度方向的厚度测量。
通过改进双光路激光三角法光路结构,优化光路设计,将双光路激光三角法中的上下透镜和图像探测器合合二为一,测量系统的上下光路采用同一光学系统和成像系统,通过图像处理设备同时抓取上下光斑图像并实时处理,很好地保证了上下光路中图像采集和处理的同步性,既消除了双光路中上下独立测量系统难以同步的问题,又减小了结构尺寸,减轻了设备重量。
1.4 光路系统特点
要获得较大的分辨率,可选用像元尺寸小的高分辨率CCD,这大大增加了成本。由前述直射型激光三角法测位移原理分析及公式推导可知,(2)式两边同时对ΔH求导即可得到直射型激光三角法的分辨力表达式:

整理得:

这里的ΔH1表示CCD的像元尺寸。分析上式可知,当γ一定时,α越大,分子变小同时分母变大,ΔH1前面的系数就变小,ΔH的值也变小,也就是说分辨率变高了;反之,γ一定时,α越小,分辨率越低。本系统中α设计角度接近90°,系统分辨率较双光路激光三角法更大。
由光路的可逆性和折射定律、反射定律中光线方向的确定性,可得出每一个物点对应唯一的一个像点,也就是说CCD的位置是唯一的。由于散斑效应,当被测物很薄时,图像探测器上的两光斑间距将很小甚至彼此相连,难以得到两光斑中心的距离,本系统中,通过在孔径光阑后方加入一片平面玻璃,用来改变光线传播方向,入射光束进入平面玻璃内部发生折射后沿平行于入射方向继续传播,当平面玻璃呈一定角度放置时,出射点的位置向平面玻璃边沿方向发生移动,这样,CCD像面上的成像光斑也同方向的随之移动一定距离,如图7所示。这样就扩大了成像光斑的距离,使系统对于很薄的被测物也能得到两个彼此分离的光斑。

Fig.7 Schemesof image deflection
2 图像处理部分
2.1 图像预处理
图像探测器采用北京微视新纪元有限公司生产的型号为MVC3000F的CCD。像元尺寸为3.2µmX3.2µm,采集幅面为2048X1536。选用的半导体激光器光源,其光斑直径在焦平面处最小尺寸为0.15mm,1:1成像后成像光斑最大宽度约为45个像元尺寸大小。为提高处理速度,相机采集幅面截取为2048×768。采集到1幅图片后,首先利用阈值法确定是否有光斑存在,若存在且为两个光斑则将灰度值按列方向进行投影,找到峰值对应的横坐标,截取峰值横坐标左右一定区域作为光斑目标区域进行找中心处理。为降低背景噪声的影响,对目标区域进行均值滤波处理,消除孤立噪声点的影响,同时通过阈值分割将目标区域的背景灰度置为0,减小背景灰度对光斑找中心的影响,然后利用重心法求取两光斑中心并计算两光斑间距。图像处理流程图如图8所示。

Fig.8 Imageprocessing flow chart
2.2 阈值的确定
阈值分割是对灰度图像选取一个合适的阈值,以确定每一个像素点是属于目标区域还是背景区域。常用的阈值计算法有直方图法、Ostu法、最小误差法、均匀化误差法、最大熵法和概率松弛法等。本系统采用阈值分割法进行图像预处理,选取原点处长宽为100×100个像元大小的区域灰度平均值作为阈值,

f(i,j)是坐标为(i,j)点处的灰度值。然后将目标区域中灰度值小于阙值的点全部置为0,以减小背景灰度对光斑求重心的影响。
2.3 厚度计算
图像预处理完毕后,计算左右光斑重心的横坐标,并在重心处画十字丝标定,如图9所示。

Fig.9 Experimentalpicture
重心横坐标表达式为:

式中,m,n,p,q分别为目标区域左右边界的横坐标和上下边界的纵坐标;G(i,j)是坐标为(i,j)处的灰度值。计算沿x轴方向两重心之间的像素个数N=(X2-X1)作为两光斑距离。通过标定实验可得到像素个数与测量厚度之间的函数关系式H=J(N),将实时测得的像素个数带入该函数表达式,即可得出被测物的厚度值。
3 系统标定及数据分析
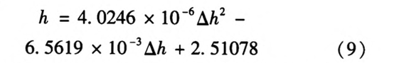
实际测量中,由于加工误差和定位误差引起的CCD像面不与被测物垂直,上下激光器没有严格对中,加之光学系统像差较大等原因,CCD像面上光斑间距与被测物厚度往往不成线性关系,为此,用最小二乘拟合来近似确定函数关系式。设Δh和h满足2阶函数式h=P1Δh2+P2Δh+p3,其中,Δh为CCD像面上两光斑间距,h为被测物厚度值,P1,P2和p3分别代表标定系数。
标定实验在系统量程内设计了13组标准厚度被测物,对系统进行标定。采用沧州市长城量具有限责任公司生产的塞尺作为待测件,该套塞尺处在设计量程中的尺片厚度为0.02mm, 0.03mm, 0.04mm, 0.05mm, 0.06mm, 0.07mm, 0.08mm, 0.09mm, 0.10mm, 0.15mm, 0.20mm, 0.25mm, 0.30mm共13组,其厚度增量值及厚度范围,全满足标定实验的需求。标定实验每片塞尺分别测量100次,取100次光斑间距值的平均值参与拟合。对测量数据进行最小二乘拟合得:

接下来将光斑间距代入标定函数式,得到测量厚度值。
表1中列出了测量厚度与实际厚度的偏差。从表1中可看出,系统标定后被测物的测量值与实际值偏差最大为0.0094mm,不超过0.01mm,精度较高,适合板材制造业的生产线在线测量。
Table1 Experimental data

4 结 论
所提出的单镜头激光三角法测厚系统实现了薄板厚度的测量,进一步拓展了激光三角法在厚度测量上的应用。单镜头激光三角法测厚系统的建立,消除了双光路激光三角法上下测量系统难以同步的问题。光学设计中平面玻璃的引用,提高了设备对超薄物体的测量能力。激光器光束轴心线与成像透镜光轴的夹角比双光路激光三角法更大,该系统具有比已有激光测厚设备更大的分辨率。以不同厚度塞尺为被测物建立标定实验对系统精度进行验证,并利用最小二乘法拟合标定数据得到标定方程,由实验数据可看出,当厚度在0.02mm~0.3mm之间时,测量误差小于10µm。本系统测量误差的主要影响因素在于光斑是否严格对中和物面是否保证水平。标定实验结果表明,本文中构建的单镜头激光三角法测厚系统测量误差较小、精度较高,具有良好的市场应用前景。
参考文献
[1] JIA Z G, LU Z G. Online testing technology of thickness [J]. lnstrumentation Technology,2009 (2) :19-21 (in Chinese).
[2] XIONG Zh Y, ZHAO B. Design of a newlaser thickness measurement inst-rument [J]. Laser Technology, 2011, 35 (5) :6137 (in Chinese).
[3] WANG D, ZHAO B. Laser obliqueillumination method for measuring steel plate thickness [J]. lnfared andLaser Engineering, 20I I, 40 (10) :2033-2036(in Chinese).
[4] YUD Y,ZHU Z D. Engineering optics[ M]. Beijing: China Machine Press,2006: 15-25(in Chinese).
[5] ZHAOB, WANG D,XIONG Zh Y. A kind of plate thickness of laser measurement device:China, CN101825438A [ P]. 2010--09--08 (in Chinese).
[6] BAI S J. A laser thickness gauge in theapplication of Handan iron and steel plate[ J]. Shandong Metallurgy, 2004, 26(1) : 281-282 (in Chinese).
[7] ZHAO B, ZHAO W M, LI R B. Design,manufacture and experience of Axilens[ J]. Laser Technology, 2000, 24 (4):219-223 (in Chinese).
[8] ZHOU L P,ZHAO B,LI Zh. Reaserch onlaser triangulation measure ment system with non-diffraction beam [J]. Laser Technology, 1998, 22 (I) :24-25 (inChinese).
[9] WANG J H, JIANG H, MAO J B. A methodfor improving the on-line thickness measurement precision of sheet board inlaser triangulation method[J]. Journal of Henan University(Natural Science Edition), 2011,41 (6) :567-571 (in Chinese).
[10] FAN F M, CHENG L L, XIAO L, etal. Establishment and analysis ofauto-focus model for laser triangulation method [J]. Infrred and Laser Engineering, 2011,40(10) :2028-2032 (in Chinese).
[11] WANG H, WANG H L, QIAN Sh S. Investigation and analysis of uncertainty of single-point laser optical triangulation measurement system [J]. Tool Engineering, 2011,45(3) :93-95(in Chinese).
[12] LIU H X, QU X H, XING Sh J, et al.Large-scale diameter measuring system based on laser triangulation [J]. Computer Measurement & Control, 2011,19(3) :506-508(in Chinese).

