
摘要:以点激光位移传感器为对象,研究它在自由曲面测量中的应用。针对激光位移传感器因测点倾角代入的测量误差,提出了一个可以量化的倾角误差模型。基于直射式点激光三角法原理,分析了激光光路的几何关系,从会聚光斑光能质心发生的偏移推导出倾角误差模型。随后,用高精度激光干涉仪和正弦规对激光位移传感器进行校对实验,并用误差模型对测量结果进行补偿。结果显示,补偿后激光位移传感器的测量精度得到明显提高。对一非球面凸透镜进行了实验测量,得到了自由曲面测点倾角的计算方法,并用倾角误差模型修正了测量数据。实验结果表明,量化的倾角误差模型可以将激光位移传感器的测量误差控制到小于10μm,满足激光位移传感器在自由曲面测量中应用的要求。
关键词:激光位移传感器;自由曲面测量;非接触测量;三角法测量;误差补偿
引言
激光位移传感器具有非接触、无测量力、响应速度快、测量范围大等优点,目前广泛应用于精密检测以及逆向工程等领域。尤其是在零部件的复杂曲面检测中,激光位移传感器可以替代常规接触式传感器,既不用标准件,也不用补偿测头半径,有效提高了检测效率。然而,激光位移传感器的测量精度易受系统自身非线性误差、物面粗糙度、物面颜色、测点物面倾斜角等因素的影响。
解则晓,罗立强,刘国栋等学者对不同表面颜色的被测物件进行了研究,研究表明红色对传感器的影响最小,而黑色最大。通过调节光强可以减小物面颜色带来的误差,推荐使用红色和橙色作为被测物体表面的颜色。吴剑锋,宋开臣,张国雄等学者深入研究了不同材质的表面粗糙度对激光位移传感器测量的影响。研究表明,当被测物面的粗糙度值较低或者比较亮时,激光束在产生漫反射的同时会产生较强的镜面反射,反射光强会造成较大的测量误差。当表面粗糙度过大,激光束照射到表面凹凸处时,光斑形状会发生较大的变化,引起光敏元件输出的不稳定,从而产生误差,影响测量准确度。针对物件表面光泽和粗糙度的影响,可以选择合适的光束入射角来优化激光位移传感器的参数。当被测物面的粗糙度Ra在0.4~3μm时,对激光位移传感器的测量精度影响不大,可免于补偿。在影响激光位移传感器精度的诸多因素中,物面倾角带入的误差最大。Vukasinovic N、黄潇苹、王永清、庄葆华、王少清等学者都对此进行了深入研究,但这些研究的结论均为定性分析,而在工程应用中有效地补偿倾角误差需要研究并建立倾角误差的量化模型。
本文将行业内具有代表性的点激光位移传感器作为研究对象,根据激光三角法原理建立了景深和倾角对测量精度影响的误差模型。然后在坐标测量系统上,用高精度激光干涉仪对传感器进行了实验标定。用误差模型修正了测量数据,使得传感器的测量精度达到10μm以内。最后,在非球面透镜型面的测量中提出了曲面测点倾角的计算方法,并通过倾角误差模型修正了测量数据,使检测精度得到了明显的提高。
1. 误差补偿模型及校对实验
1.1倾角误差模型的建立
激光位移传感器的测量原理:激光发射器发出一束平行光,经会聚透镜聚焦在被测物体表面,产生漫反射光线,部分光线通过接收透镜成像在CCD光敏面上。当被测物体沿着光束的入射方向移动时,物体表面的散射光斑相对于成像物镜的位置发生了改变,相应地在光敏器件上的像点位置也发生了变化。精确地测量像点在线阵CCD光敏面上的位移,就可以得到被测物体的位移变化量。由于测量时激光的入射光束和反射光束构成了一个三角形,故该方法称为激光三角法。测量原理如图1所示,位移计算公式如式(1)所示:

图中ω是两条反射光束的夹角。式中β为入射光束与接收透镜轴线的夹角;φ为CCD光敏面与接收透镜轴线的夹角;L是接收透镜的物距,即A点与接收透镜前主面的距离;L'代表接收透镜的像距,即接收透镜的后主面与成像面中心点的距离。被测物面移动在参考平面下方时取正号,反之取负号。
从激光三角法测量原理可知,传感器的设计参数以垂直入射被测物面为基准。当传感器入射光束与被测物面不垂直时,物面的倾斜改变了散射光场相对于接收透镜的空间分布,使得会聚光斑在线阵CCD光敏面上的光能质心位置相对于垂直入射时发生了改变,若仍使用垂直入射时的标定模型来计算位移量,必然要产生误差,即倾角误差。这就是物面倾斜产生测量误差的根本原因。研究并补偿激光位移传感器的倾角误差,可以有效提高自由曲面的测量精度。

如图2所示,光能质心线在线阵CCD光敏面上的投射点即是光敏面上接收到会聚光斑的光能质心。当物面发生倾斜时,CCD光敏面上成像光斑的光能质心相对其几何中心产生偏移,因此检测到的光能质心不是光斑的几何中心。激光束在物体表面的散射现象是非常复杂的,为了便于定量分析,这里假设被测物件表面产生理想漫散射,无吸收,从而推出光能质心线的投射点C的离轴距离为:


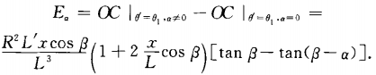
假定激光位移传感器标定时入射光束为垂直入射,即物面无倾斜时,θ'=θ1|α=0。如果激光位移传感器标定时入射光以倾角α入射,即物面有倾斜时,θ'=θ1|α≠0。那么倾角误差为:
(3)
由式(3)可知,变量只有物面倾角α和物件位移量x,其余为激光位移传感器的设计参数,经分析可知:
(1)当物件位移量x一定时,激光位移传感器的测量误差随测量物面倾角的增大而增加;
(2)当物面倾角α一定时,激光位移传感器的测量误差随测量景深的增大而增加;
(3)当α>0时,激光位移传感器测量误差的取值符号与位移相同;当α<0时,激光位移传感器测量误差的取值符号与位移相反。
上述推导是假定被测物表面为理想条件,满足朗伯定理而进行的,并对一些数值作了近似处理,尽管理论计算结果与实际测量值还有一定偏差,但从工程应用的角度出发,本文推导出的理论量化模型提高了实际的测量精度,值得应用和推广。
1.2 激光干涉仪校对实验
实验中,采用某公司生产的点激光位移传感器。采用红色半导体激光(658 nm)作为光源,通过独创的信号处理电路集成于受光元件芯片上的“系统芯片”化技术,获得了高密度的受光元件和接近极限的处理速度,可以达到较高的分辨力。
这款传感器所附带的控制器功能强大,可对测量方式以及被测物件的颜色、材质、粗糙度等参数进行算法优化和误差补偿,使用时根据被测物件特征,在操作盘对话菜单中设置相应的参数即可减小误差。市面上众多传感器制造商都没有提供倾角误差模型,本文研究了倾角误差补偿,以期促进激光位移传感器在精密检测领域的应用。
激光位移传感器的倾角误差实验装置由激光位移传感器、高精度激光干涉仪、正弦规、标准量块以及课题组自行研制的坐标测量系统等组成。如图3所示,把正弦规表面作为被测物面。正弦规的倾斜角度可以通过调整标准量块的高度来获得,其计算方法如下:

在△ABC中,BC=AB·sin α.(4)
从式(4)中可知,通过计算量块的高度,选择一定的标准量块组合即可搭建出一定的物面倾角。
激光干涉仪是通过激光双频干涉的原理来实现位移测量的。激光波长具有长度测量的溯源性,测量范围非常大,而且能够达到纳米级的测量精度;不仅可用于检测一些大范围、高精度的几何量,还常用于测量基准以及标定和校正一些精密测量仪器或工件。实验使用雷尼绍XL-80激光干涉仪作为标定基准。其主要参数如下:测量范围为80m;分辨力为1nm;线性精度为±0.5×10^-6。校对实验如图4所示,激光位移传感器安装在坐标测量系统的x轴上,正弦规放置在激光传感器正下方的平台上,激光干涉仪光路组件由磁力表架固定在X轴和平台上。X轴由坐标系统的电脑程序控制,可以沿Z轴移动。

实验开始前先要精确调整激光传感器的姿态,保证激光光束竖直入射。然后调整干涉仪光路组件的位置,在沿Z轴移动的过程中确保光路不发生偏移以及激光干涉仪能够准确读数。实验中分别搭建了具有代表性的5,16,28,-6°倾角的正弦规,正弦规放置于激光位移传感器的正下方。正弦规的角度为正时,倾斜方向对应于传感器光束的接收面。实验开始时,坐标系统的电脑程序控制Z轴携带传感器上下移动,在激光位移传感器的有效测量范围内(-15~15mm),每移动1mm记录下激光位移传感器和激光干涉仪的数值。
整理实验数据,并通过2.1节的量化误差模型进行补偿,由MATLAB进行处理,结果如图5所示。由图可以明显看出,测量数据的误差得到了有效的修正,在传感器的有效测量范围内,误差值可以控制在10μm以内,测量精度明显提高。

2.自由曲面测点法向量的计算
激光位移传感器在测量复杂曲面时,具有非接触、速度快和绝对示值等优点,但测点倾角引起的误差不容忽视,因此,有必要先研究自由曲面测点法向量的计算方法。

如图6所示,在自由曲面上通过5个点P0(X0,Y0)、P1(x1,y1)、P2(x2,y2)、P3(x3,y3)、P4(x4,y4)构成两条曲线,其交点P1的法向量行可由二次贝塞尔曲线的交叉曲线法得到。相交于P1的两个切向量为Pu,Pv。根据二次贝塞尔曲线方程,有:

式中:B0,B1,B2是控制点。在这里令B0=P0,B2=P2,U=U1,那么:

对于P1,其切向量Pu可以表示为:
(7)
其中,通过3点P0(x0,y0)、P1(x1,y1)、P2(x2,y2)的曲线中,参数U1。可表示为:

另一条曲线在P1点的切向量Pυ=P'(υ1)。那么,P2点的法向量可由右手法则得到:

通过已知测点的单位法向量可以求出测点对应于激光位移传感器的倾斜角度。再把测点的倾角导入倾角误差模型求出误差值,就能够修正传感器的测量数据,达到提高测量精度的目的。
3.非球面测量实验
非球面透镜不但能够增加光学设计的自由度,有利于校正像差和提高光学系统性能,而且可以简化仪器结构,降低成本,因此非球面透镜在光学系统中的应用日益普及。非球面检测技术一直是提高非球面加工精度的瓶颈,而高精度检测方法及仪器的研制,是顺利实现非球面精密加工及超精密加工的保证。本文以某标准非球面凸透镜为对象,用激光位移传感器来测量其截面型线。
3.1 非球面凸透镜测点倾角的计算
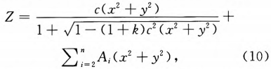
根据非球面凸透镜设计造型特征。非球面的基本面型是旋转对称表面,其曲面方程描述为:

式中:Z是矢高;c=1/R,R是顶点曲率半径;k是二次曲面系数;A为高次非球面系数。这里待检测的非球面凸透镜的曲率半径R=428.5mm,k=-5.282 4,直径D=108.2 mm,高阶项系数均为0。
由于被检测对象为非球面,为了能够在工程应用上实现快速有效的测量,课题组设计出一种特征截面扫描法。如图7所示,透镜竖直放置,激光传感器光束水平照射,在传感器有效测量范围内沿X轴扫描凸透镜型面,通过倾角误差模型修正采集的数据,即可得到被测真实曲面。因此,只有准确找出测点的倾角才能进行误差补偿。为了在工程应用中实现该算法,本文结合透镜型面构造特征,通过反复调整,确保被测物面竖直放置在坐标测量系统中,使型面轴心线方向与测量坐标系y轴近似平行。那么,在垂直于Z轴的截面上,叶片型线上测点均在XY平面内,所以问题简化为求曲线上测点的切向量。

如果已知测点P1的切向量Pu(x,y),通过图7所示的几何关系可知,若测点P1的切向量Pu(x,y)与X轴平行,那么沿y轴的入射光束方向与Pu垂直,测点的倾角a等于零;否则,测点倾角a为:

相邻点坐标求出测点在Xy平面内的切Pu,就可以根据上述公式计算出测点对应的。再由公式(3)计算出倾角误差值Ea,对原量数据P0进行补偿,就可以得到测点的准Pc,即有:

3.2实验及数据修正
面凸透镜测量实验在图8所示的坐标系统上进行。测量前首先使用标靶将激光位感器姿态调好,保证光束方向与Y轴方向一致,然后把透镜安装在ZYGO公司的位姿可调夹具上。在透镜型面上通过对称关系标定上下左右4个点,程序控制激光传感器来测量4个点的数值。根据上下两点、左右两点的大小反复多次调整透镜的位姿,以确保透镜型面与传感器光束垂直。

为了确保测量轨迹能够通过透镜型面顶点,测量时,先将激光传感器沿Z轴竖直扫描任一截面,找到这一截面上激光传感器示值的最高点。然后调整测量系统,使得激光传感器在Z轴上通过这一点,接着沿X轴扫描截面并采集数据。
根据实验设计,取透镜型面过中心点截面的部分测量数据进行分析。如表2所示,通过所提出的激光位移传感器倾角误差模型补偿后,采集到的数据得到了改善。利用MATLAB绘制非球面的理论曲线、传感器原始数据曲线以及补偿曲线,结果如图9所示。通过右边放大的图形可以看出,补偿后的曲线更接近于理论曲线。


5.结论
本文从直射式激光三角法测量原理入手,对激光的几何光路系统进行了详细的分析和研究。由于激光光路的改变导致光能质心发生了改变,文中针对倾角误差产生机理,建立了一个量化的数学模型。在自行研制的坐标测量系统上,以高精度激光干涉仪为基准对激光位移传感器进行了倾角误差补偿实验。结果表明,使用本文提出的误差模型可以有效地补偿倾角引起的误差,测量误差小于10μm。
本文提出的倾角误差补偿方法有效地提高了激光位移传感器测量自由曲面的精度,在工程上具有一定的推广和使用价值。
本文章摘自西安交通大学机械制造系统工程国家重点实验室,作者:李兵,孙彬,陈磊,魏翔。