摘要:对激光三角测量法应用于表面形貌的检测进行研究( 通过分析激光三角测量的基本原理,得出光路设计条件与输入输出关系。分析了几种激光三角测量的改进方法的优点、局限与适用范围,讨论了激光三角测量中影响分辨率与精度的几个因素并提出应对的措施。
关键词:激光三角测量;非接触测量;表面形貌
在非接触三维形貌测量中,激光三角法由于结构简单、测量速度快、具有实时处理能力、使用灵活、适应力强,已在机器人视觉、实物仿形、自动加工、工业检测等领域得到广泛的应用( 特别是 90年代以来,随着反求工程和快速成型制造技术的迅速发展,对三维物体形貌进行快速精密测量的需求日益增长。从工业实际应用情况来看,利用漫反射光接收的三角法测量是使用最为广泛的非接触测量手段。三角法测量的本质是通过分析受到三维物体表面形貌调制的光场,从而获得物体表面的三维信息。本文对这种方法的基本原理、结构改进以及误差因素做了较系统地分析。
三角法测量的测量原理
1.1 三角法测量系统的基本结构

三角法测量物体表面形貌的基本结构如图1所示,图中,激光器的轴线、成像物镜的光轴以及 CCD线阵,三者位于同一个平面内,激光光源作为测量的指示光源,将一个理想的点光斑投射在被测表面上,该光斑将随其投射点位置的深度坐标变化而沿着激光器的轴向作同样距离的位移,点光斑同时又通过物镜成像在CCD线阵上,且成像位置与光斑的深度位置有唯一的对应关系,测出CCD 线阵上所成实像的中心位置,即可通过几何光学的计算方法求出光斑此刻的深度坐标,从而得到被测表面该点处的深度参数,通过对若干采样点的测量,得到被测表面形貌的一组数据,这种基本的光学三角法测量属于逐点测量。
1.2 三角法测量的光路设计计算
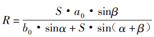
由于三角法测量原理中包含有凸透镜成像过程,因此光源、物镜及CCD线阵三者的位置关系必须满足高斯定理,图2所示为激光器轴线、物镜主平面及光轴、CCD 线阵三者关系,它们之间的位置与姿态关系由a0,b0,α,β,4个参数确定( 其中,a0 是激光器轴线与物镜光轴的交点到物镜光心的距离;b0是 CCD线阵与物镜光轴的交点到物镜光心的距离;α为激光器轴线与物镜光轴的夹角;β为 CCD线阵与光轴的夹角。

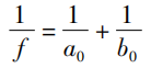
根据高斯定理,当投射在被测表面上的光斑恰好位于物镜光轴上时(可将这个位置作为测量的参考零点),要使光斑通过物镜在CCD线阵上成清晰实像,满足
(1)
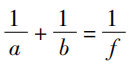
式中 ƒ为物镜焦距&,而对于光轴以外的光斑,也要使其在CCD线阵上成清晰实像,此时物距为
(2)
像距为
(3)
a、b也必须满足高斯定理,因此有
(4)
联立式(1)、(2)、(3)、(4)可以得到
(5)
该式的物理含义即,激光器轴线、物镜主平面、CCD线阵三者的延长线交于一点(或三者相互平行),满足式(1)和式(5)的三角法测量装置就可使投射光斑无论远近,皆可通过物镜在CCD 线阵上成清晰实像,这一条件实际上就是著名的Scheimpflug条件。
1.3 三角法测量的输入输出关系
根据图2原理,下面导出三角法测量的传递函数,取物镜光轴与激光器轴线交点为物方零位参考点,对应的 CCD 线阵上像点为像方零点,某一任意情况下,投射光斑偏离零点的位移为 R,而此刻像光斑偏离零点的位移为 S,则根据几何关系有


显然,这是一个非线性的关系, 当且仅当α=β=90° 时(即激光器轴线、物镜主平面以及 CCD 线阵三者平行),上式可简化为

此时的输入与输出方为线性关系。
另外可求出三角法测量的灵敏度表达式,即当CCD 线阵∆S上像点移动时,物点位移为

由此式可知三角法测量的灵敏度在零点处(S=0)最高,也是非线性的。
2 三角法的几种结构改进
2.1 无衍射光束代替高斯光束
通常三角法测量的光源采用半导体激光器,并经过准直透镜变为平行光束,最后经物镜聚焦到被测表面上,这样的系统其量程将受限于高斯光束的焦深范围。 若增加调焦装置,则系统复杂程度会大大增加,也不利于提高测量速度。 因此就产生了用新兴的无衍射光束来代替高斯光束作测量光束的解决办法。
无衍射光束由 Dwrnin J于1978 年首次提出,它是自由空间标量波动方程的一组特殊解,其场分布具有第一类零阶贝塞尔函数的形式& 无衍射光束具有主光斑小、光斑尺寸不随传输距离而变化等重要特点,非常适合于在精密测量中作为指示光束。

生成无衍射光束的方法有多种,其中圆锥透镜法因其结构简单且能量利用率高,已经被广泛采用其光学系统如图3所示, 从过主光轴的任一截面来看,经圆锥透镜偏折的两部分平行光在 Z范围内发生叠加, 由于在主光轴附近叠加的光相位相近,因而得到加强,出现亮斑,无衍射范围Z以及激光束中心亮斑半径 r分别为

式中γ及R分别为透镜顶锥角和光阑孔的半径;n为透镜材料折射率;K为波数,K=2π/λ。
采用无衍射光束作为测量的指示光束,其焦深可以根据测量需要进行设计,只要选择合适的透镜顶锥角γ即可,如此就可以使测量系统的量程不再受焦深范围的制约,而且不必增加任何调焦机构。
2.2 扫描光条代替单光点
对测量光束的另一方面改进是将一个投射光斑扩展为一条线形光条在逐点测量方式下,测量一个表面时需按照一定的分布方式安排足够的采样点,依次测量每一个采样点的深度数据,而后再利用插值方法求出整个表面的形貌数据! 这种方法不仅精度有限,而且测量的速度受到制约效率低,采用光条法测量中投射到被测表面的是一线形的光斑,同时测量一定宽度范围内的表面形貌! 再辅以相对于被测表面垂直于光条方向的扫描运动,则一定面积的被测表面可以连续地进行测量,大大提高了测量的效率。
实现光条法测量,需对一般的三角法测量做两部分改进,一是光源,二是CCD接收器。光源部分通常可采用扫描振镜来实现线形光条,如图 4所示,高频往复摆动的平面反射镜将入射的激光束变为高频往复扫描的光束,从而在被测面上形成一条扫描线!与光源相对应,接收装置也必须把原先的线阵CCD换成CCD面阵,以接受一定宽度的被测表面形貌调制后的光条! 需要注意的一点是,由于扫描光条上的每一点不可能都严格满足Scheimpflug条件,因此不能使测量范围太宽,否则必然影响到成像的清晰度,使像的中心提取困难,从而降低测量的准确度。

2.3 采用双CCD感光接收单元
传统的基于激光三角法的测量系统,其精度会随着激光束对被测表面的入射角增大而降低! 当入射角大于一定角度时,便会出现盲区,测量信号消失! 为减小由于被测表面倾斜产生的测量误差以及死区的影响,可以使用双 CCD 接收器的方法,如图5所示,用扫描的光平面切于被测工件,两个CCD相机对称分布于光平面的两侧,接受光条的漫反射光, 这种布置也有称为双三角测量法的, 这种测量法的优越性主要在于能够减小乃至消除测量盲区,目前国外最先进的三角法测量均为双 CCD 相机设计,进一步的研究发现,双CCD相机的设计还可以有效地提高测量精度,这主要表现在它可以消除被测表面形状引起的测量误差! 因为两个相机所得到的表面倾斜误差是不一样的,每一个倾斜角度都对应一种双 CCD 的测量差值,也就是说,采用两个CCD相机不仅可以实时得到表面的深度信息,而且可以同时得到表面的倾斜角度,因此可对物体表面倾角引起的误差加以补偿! 这种方法可以明显地提高测量的精度。

3 三角法测量的分辨率与精度分析
从原理上看,三角法测量系统的分辨率主要受限于所用的 CCD 器件,CCD 器件是由一系列光敏像素单元以矩阵方式排列成的,每个像元都有一定的尺寸,而且相邻的像元之间也有一定的间隔,限于目前的工艺水平,CCD器件的像元尺寸多数仍处在微米级,由于 CCD 器件本身的不连续性,其对光斑移动量的分辨能力主要就受到像元中心距离的限制,而对于整个测量系统而言,其分辨率主要还取决于测量的范围,例如,对2048像素的线阵CCD,测量高度通过成像系统反映到CCD感光面上,如果量程为20㎜,则测量分辨率为20/2048,约为10μm;当量程缩小到10㎜时,分辨率为10/2048,约为5μm 可见在三角测量中,其他条件不变的情况下,量程与测量分辨率成反比。因此,目前常见的三角法测量系统,其量程多为几个毫米,分辨率为微米级。
测量系统的精度一般是测量分辨率的 1~3 倍,具体取决于产生测量误差的因素和数据处理的方法! 三角法测量中产生误差的最主要因素是被测表面特性的影响。在三角法中,利用激光束投射到被测表面形成漫反射光斑作为传感信号,然而被测表面的实际情况是千差万别的,不同颜色、材料、粗糙度、光学性质以及表面面形等因素,造成当同一光源入射时,表面对光的反射和吸收情况不同。 特别是物体表面的粗糙度及复折射率等因素,严重影响着物体表面的光散射,使通过透镜成像原理得到的光斑图像像质差别较大,对橡胶、镀层及陶瓷等材料的表面,单点散射光斑中心对称地分布在光斑周围;而有加工刀痕的纹路表面或纤维表面的单点散射光斑以中心对称向纹理方向呈双向放射状分布! 而光条法测量时,扫描光条在像平面上将形成宽窄不均的光带,同时,测量表面的倾斜会使漫反射光斑的能量中心偏离几何中心而产生误差。 因此在计算表面深度坐标时,应该进行光斑几何中心提取,提取的准确度直接影响到最终的测量的精度,不同的光斑中心提取算法能够不同程度的提高精度,减小误差! 但这种方法会增加系统的复杂程度,减慢测量速度,应视实际情况加以采用。
另外,测量系统的结构安装误差的影响以及光学系统的像差等理论计算中所忽略的因素,也是误差的重要来源。三角法测量的实际系统结构参数与设计时的光路参数不可能完全一致,这个系统结构误差直接影响到三角法测量的精度,这一误差也包括光条法中的扫描振镜的安装误差,将引起扫描线的非线性,从而影响到系统的测量精度,对于这些固定的系统误差,实际中也可以采用多维拟合标定的办法加以控制。
4 结 论
本文对物体表面形貌非接触测量中的常见方法激光三角测量法作了一次系统的研究。分析了三角法的测量原理、光路计算、改进方法以及误差因素,尽管与其他的光学非接触测量方法(如干涉法、焦点检测法等)相比,三角法在精度以及分辨率上仍然有不足之处,但它具有结构简单、使用灵活、适应力强等优点,因此仍不失为非接触测量的首选方法之一。
本文章摘自厦门大学学报