摘要:介绍了激光三角测距传感器的基本工作原理和激光光斑成像噪声处理的主要方法,将平方加权质心法应用于激光在CCD中成像的细分定位,并与传统质心法、多项式插值法和高斯曲线拟合法进行了较为系统的比较,通过实验表明,平方加权质心法是一种较为理想的细分定位方法,不仅简单、易于实现,而且具有更高的定位精度以及抗噪声的能力。
关键词:激光三角测距;CCD;平方加权质心法;高斯曲线拟合法
0 引言
激光三角法测量目前是一种比较重要的非接触式位置测量手段,可以对位移,厚度,二、三维坐标,物体的形貌和轮廓,振动,速度以及加速度等等进行非接触式测量。它具有测量速度快、精度高、抗干扰能力强、测量点小、适用范围广等优点,因此被广泛应用于现代的工业生产现场。在利用三角测距原理进行测量的过程中,提高激光光斑在CCD上成像的定位准确性将是提高测距精度的最主要的因素。目前人们提出了一些提高CCD定位精度的设想和算法,其中较具有代表性的有概率法、解调法、多项式拟合法和多项式插值法。但是这些算法抗干扰能力差,应用的信息量小,精度低,可靠性差。
本文将平方加权质心法应用于激光在CCD中成像的细分定位中,该算法更为有效地利用了峰值附近的光斑信息,减小了白噪声等系统噪声的影响,可以获得更高的光斑定位精度和稳定性。
1 滤波去噪处理
在激光三角测距传感器的光学系统中,成像在CCD的激光光斑像点在理想情况下应该是单个圆滑的圆点或者单根线条。但在实际测量中,点像会出现许多变形。这些变形主要源于系统的噪声:CCD的热噪声;CCD器件驱动器噪声;前置放大器噪声;光源噪声;杂散光干扰噪声等。这些噪声需要采取一定的滤波才能得到平滑的曲线。常用的去噪处理可以采用中值滤波、均值滤波或高斯滤波。
2 激光光斑在CCD上成像的细分定位方法
受光学系统和CCD制造工艺的限制,图像的分辨率不可能无限制的提高,因此通过提高图像分辨率来提高定位精度的方法受到一定的局限。然而,通过图像处理方法用软件的方式对目标进行细分定位却是一个行之有效的途径。许多现有的细分定位算法一般都能达到亚像素(甚至更高)精度。为了从CCD中获得更高的光斑位置定位精度,常采用灰度的方法进行细分定位处理,如质心法、曲面拟合法等。本文主要考虑基于灰度质心法、改进形式的质心法和曲线拟合的方法,并对其定位精度进行比较分析。
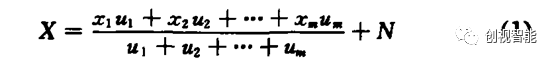
2. 1质心法
假设聚焦在CCD光敏面上的光斑覆盖m个象素,其视频输出信号的包络为近正态高斯分布,质心法实际上就是计算二值化后图像的一阶矩,则光斑的灰度质心可由下式给出:

式中:X为光斑灰度质心位置,Xi为第N+i个象素位置,ui为第N+i个象素位置光斑的灰度值,N为正态分布的起始坐标。
作为一种通用的细分定位方法,质心法有一些改进的形式.
1) 带阔值的质心法:带阔值的质心法计算公式如下:

带阈值的质心法相当于将原图像与二值化阈值相减,然后对相减后的图像求质心.光斑的图像是真实图像以及各种噪声的叠加,因此很难确定一个合理的阈值来提取光斑的真实峰值。
2) 平方加权质心法:平方加权质心法计算公式表示为:

平方加权质心法采用灰度值的平方代替灰度值作为权值,它突出了离中心较近的较大灰度值像素点对中心位置的影响,相对降低了白噪声等系统噪声的比例。
2.2曲线拟合法
由于激光光斑在CCD感光面上的成像可以近似地看作高斯分布,因此可以用高斯曲线对其灰度分布进行拟合。高斯曲线拟合函数可以表示为:

这里A为比例系数,代表灰度幅值的大小;x0为高斯函数的中心;δ为x方向的标准偏差。通常情况下,利用最小二乘方法可以计算出高斯函数的中心,即为光斑的中心位置坐标。
2.3对比分析
通过以上理论分析,传统灰度质心法对中心像素的利用不大,容易受到系统噪声带来的影响,抗干扰能力比较低。
高斯曲线拟合法能够具有很好的噪声抑制能力,同时也具有一定的定位精度,但是由于不同物体表面的差异性,采集的光斑图像也会发生某种变形,此时它的定位准确性就将得到质疑。而平方加权质心法采用灰度值的平方代替灰度值作为权值,它突出了离中心较近的较大灰度值像素点对中心位置的影响,相对降低了白噪声等系统噪声的比例。因此,平方加权质心法在激光三角测距系统中将具有更高的精度和稳定性.
3 实验结果分析
3.1 测试方法
本实验采用直射式激光三角法,搭建了一套数据采集系统(如图1所示)。采用半导体激光器照明、TCD15OOC线阵CCD作探测器,PCI图像卡采集图像,另外用一台PC机进行控制和数据读取。软件编制在统一菜单下进行,包括选择参数,数据采集处理,拟合和求质心,距离计算。

图1 激光三角测距光路原理图
3. 2噪声对细分定位精度的影响
由于系统各方面的干扰等,必然引入一些噪声。为了验证噪声对我们定位精度的影响,本文采用PC机读取到的数据,不经过任何滤波,这样所采用的数据含有全部的噪声影响。

图2 测量结果误差曲线
对某目标表面分别采用上述各种算法进行测试,各测量10次,得到图2所示测量结果误差曲线。从中可以得出结论 :
(1)由于各种噪声的存在,尤其是高频噪声的存在使得方法的精度都较低。传统质心法变化的最为显著,而平方加权质心法变化的相对比较小。
(2)精度对比:平方加权质心法>高斯曲线拟合法>传统质心法。
在这里我们没有对多项式插值法进行比较,主要是由于该算法应用的节点很少,信息最很少,因此该算法对噪声的抑制能力最差。而平方加权质心法具有最强的噪声抑制能力,主要是由于它突出了离中心较近的较大灰度值像素点对中心位置的影响,相对较少了白噪声等系统噪声的比例。
3.3滤波后的细分定位精度
既然由于高频噪声的存在使得各种方法的精度都不是很理想,这里我们采用滤波后的数据再进行峰值识别。在本位移测量系统中,我们采用的是中值滤波算法和均值滤波算法来对图像进行预处理的。首先对原始数据采用中值滤波,但是这里的中值滤波不是取对某一像素及其领域进行中值滤波后所得到的中间值来替代这一像素的值,而是会保留这一中间值及其附近的几个值,并对这几个值求平均后来替代这一像素的值,这一方法对消除噪声的影响取得了较好的效果。
同样.这里对上述10组数据分别进行滤波,之后分别用平方加权质心法、高斯曲线拟合法和传统质心法进行数据处理,得到图3所示测量误差曲线。

图3 滤波后测量结果误差曲线
从图2与图3对比可以看出,经过滤波处理后各种方法的定位精度均有一定程度的提高。中值滤波和均值滤波处理对于传统质心法精度的提高效果很显著,对其他方法则提高的幅度不大。其次,经过滤波以后,平方加权质心法的峰值提取精度和稳定性仍然高于高斯曲线拟合法和传统质心法。平方加权质心法的误差变化范围为0.1个CCD像素,略高于高斯曲线拟合法。
3.4 结论
基于以上对比实验的结果分析,平方加权质心法有效的突出了离中心较近的较大灰度值像素点对中心位置的影响,相对降低了白噪声等系统噪声的比例。从理论证明了,平方加权质心法具有更高的精度和稳定性。通过实验证明了,平方加权质心法是一种比较适合于提取峰值位置的一种细分定位方法,它不仅具有较高的精度,而且简单、易于实现,其定位精度受噪声的影响也较小。
4 结束语
本文介绍了激光三角测距传感器的基本工作原理和激光光斑成像噪声处理的主要方法,将平方加权质心法应用于激光在CCD中成像的细分定位,并与传统质心法、多项式插值法和高斯曲线拟合法进行了较为系统的比较。通过实验表明,平方加权质心法有效的突出了离中心较近的较大灰度值像素点对中心位置的影响,相对降低了白噪声等系统噪声的比例。平方加权质心法是一种较为理想的细分定位方法,不仅简单、易于实现,而且具有更高的定位精度以及抗噪声的能力。
参考文献:
[l] Sirkis JS. System response to automated grid methods [J ]. Optic Engineering, 1990, 29 (12): 1485-1493.
[2] 孙军利,赵辉,陶卫.具有亚像素级定位精度的激光三角测距新算法 [ J] .激光杂志, Laser Joumal, 2006, (04),
[3] Pei S C. Tam I K. Effective colour interpolation in CCD colour fil ter array using signal correlation [A]. Proc. IEEE Int. Con£. Im age Processing [C]. 2000, 488-491.
[4] 赵建林,郝建华.王军,等.激光三角测距的一种实验标定方法 [ J] .西北工业大学学报,1 998 , 16 (3).
[5] Su, D, Willis, P. Demossaaiiccinin1g1 of color images using pixel level da- ta-dependent triangulation [A]. Theory and Practice of Computer Graphics [CJ. 2003. Proceedings, 2003, 16-23.
[6] 赵建林,郝建华,李恩扑,等.提高 CCD在激光三角测距中的分辨率的方法 [J] . 光子学报,199 7, 26 (11).
[7] Clarke TA, Cooper MAR, Fryer J G. An estimator for the ran dom error in subpixel target location and its use in the bundle adjust ment [A]. Optical 32D Measurements Techniques 11 [ C]. Karlsruhe: Pub Wichmann, 1993, 161-168.
苏州创视智能技术有限公司(以下简称:创视智能),是一家专注精密检测系统、高精度测距-位移传感器研发、生产、销售及售后的技术研发驱动型企业,公司坐落于风景如画的苏州吴中科技创业园,由来自国内外一流高校的博士、硕士团队创立,公司已累计申请各类知识产权十余项。公司秉承着“技术研发驱动,应用需求导向,服务客户优先”的原则,致力于成为拥有“中华自主品牌”的“精密测量专家”,愿同各方一道,赋能国内外高端仪器仪表及精密传感器的产业发展。
创视智能目前推出了光谱共焦位移传感器和激光三角位移传感器两款系列产品,已与多家高校及行业龙头企业建立合作伙伴关系,广泛应用于学术科研、精密制造、3C电子、汽车、金属、半导体、新能源、市政检测行业等领域,客户反响热烈,受到广泛好评。
