
共焦显微镜(CM)是生物学研究、材料科学和表面形貌测量的有力工具。在共焦成像或精密计量应用中,通常需要基于机械设备的轴向扫描。作为传统CM的一种变体,彩色CM(光谱共焦传感器)可以通过增色物镜实现快速轴向扫描。色散物镜设计为具有纵向色差,其中不同的光谱成分聚焦在不同的轴向位置。结合共焦针孔,光谱共焦传感器可以用不同峰值波长的光谱信号对位移进行编码,然后通过信号处理对接收到的光谱信号中的位移进行解码。
光谱信号的质量影响着信号的处理过程,最终影响着彩色共模的测量性能。从信号建模的角度来看,光谱信号与光谱共焦传感器的设计参数有关,例如共焦装置的尺寸特征(例如,照明和检测针孔的尺寸、照明和检测的数值孔径以及色散物镜的数值孔径)。因此,光谱信号的精确建模对于理解其对设计参数的依赖性至关重要。这些信息可用于优化光学设计过程,最终可用于提高测量性能。
Ruprecht等人根据基本共焦信号模型建立了一个信号模型,假设存在一个无限小的照明针孔,并应用近轴衍射近似。这些假设通常在常规CM中有效,其中照明针孔的尺寸远小于检测针孔的尺寸。然而,有限尺寸的照明针孔通常用于提高具有低亮度光源(如LED)的彩色CM仪器的光效率。此外,照明和检测的相同针孔配置在光谱共焦传感器中很常见,以便于对齐。因此,需要进一步考虑照明针孔尺寸的影响。此外,轴向共焦信号内的离焦距离通常为几微米,而彩色CM(当一个波长聚焦时,其他波长失焦)的离焦距离通常为数十微米甚至数百微米,当离焦距离大于几十微米时,近轴近似无效。
为了解决傍轴衍射理论和无限小照明针孔的无效假设,Hillenbrand等人基于非傍轴衍射理论,提出了具有有限尺寸照明针孔的彩色CM的一维光谱信号模型。但是,该模型需要事先确定光学系统的光学设计参数(例如透镜半径、透镜厚度、透镜之间的空间和材料属性)。该模型在光学设计过程之前是无效的,这降低了它对提高仪器设计性能的有效性。此外,光谱信号在不同的色散位置可能不同,并且在该一维光谱信号模型中未捕获对测量性能至关重要的实际位移-波长关系。
来自华中科技大学数字制造装备与技术国家重点实验室、英国诺丁汉大学和英国哈德斯菲尔德大学的研发团队提出了一个二维光谱信号模型来描述信号强度波长位移特性。该模型是基于非傍轴衍射理论建立的,考虑了照明针孔的大小和位移-波长的关系,而不需要输入光谱共焦的光学设计参数。
二维光谱信号由位于不同色散位置的一系列光谱共焦信号帧组成。光谱共焦信号是代表不同离焦距离下不同单色照明轴向共焦信号的强度集合,离焦距离和照明波长之间的关系由增色物镜的色散特性确定。图1说明了轴向共焦信号、光谱共焦信号和二维光谱信号之间的关系。建立二维光谱信号模型需要建立单色照明轴向共焦信号模型并确定位移-波长关系。

图1. 轴向共焦信号(左)、光谱共焦信号(中)和二维光谱信号(右)的图示。
光谱共焦传感器的光学布局通常涉及多个透镜,这些透镜使用“黑匣子”成像模型进行模拟,如图2所示。在入射光瞳和出射光瞳之间传播的光可以用几何光学来描述,但当光从出射光瞳传播到图像时,需要考虑衍射效应。在相干成像系统中,图像被计算为几何光学预测的图像与光学系统的点扩散函数(PSF)的卷积。对于非相干照明,图像强度是强度PSF与理想图像强度的卷积。

图2. 成像系统的广义黑箱模型。
虽然彩色共焦中轴向共焦信号模型的发展假设为单色照明,但照明的空间相干性需要进一步考虑。空间相干性由整个照明对象的相量振幅的统计相关性决定。在本文中,使用了空间非相干光源(如LED),因此物体上不同点的照明图案是非相干的。而且成像过程部分是非相干的。
经过几何光学和衍射光学的理论公式,可以推导得到强度点扩散函数的计算公式,其中u0是照明或检测成像过程中出瞳处的波前,k是波数。R是出瞳平面上的点(x0,y0,0)和检测平面上的点(x,y,z)之间的距离。在没有单色像差的情况下,出瞳处的输出场是一个理想的会聚球面波。


因此,在本文的模型中,提前假设出瞳处的场,因此不需要考虑光谱共焦探头的设计参数(包括共焦装置的尺寸特性、色散物镜的色散特性和光学像差)。
色散波长和位移之前的关系式可以通过多项式来进行表示,(14)。而轴向色散的模型公式则可以表示为,其中参考波长为587.6nm,(15)。不同波长的离焦量可以表示为(17)。从而光谱共焦的信号强度为(18)。可以得到二维光谱关系式(19)。





在图3中,说明了共焦装置不同尺寸特性的二维光谱信号。半高宽与照明/探测半径成线性比例,半高宽与照明/检测NA成线性比例,与目标NA的平方成反比。

图3. 光谱共焦信号的半高宽随共焦装置不同尺寸特性的变化。(a):照明/探测半径;(b):照明/检测NA;(c):增色物镜NA值。
假设光谱共焦传感器具有恒定的灵敏度,当固定光谱带宽时,灵敏度的增加意味着色散范围的减小。在半色散范围内,光谱共焦信号的半高宽绘制在不同灵敏度水平上,如图4所示,发现半高宽与灵敏度成线性比例。

图4. 光谱共焦信号在不同灵敏度水平下的半高宽变化
色散物镜旨在使不同的光谱成分在不同的轴向位置“完美”聚焦。然而,随着色散范围的增加,会出现单色像差(发生在光学设计、制造和组装过程中)。根据赛德尔像差理论,单色像差由五个不同的像差项组成,包括球差、彗差、像散、场曲率和畸变。这种几何像差的存在意味着波前的法线方向偏离理想路径,从而在出瞳处出现波前像差。当共焦装置的尺寸特性和灵敏度被指定时,提前进一步了解不同程度的光学像差对二维光谱信号的影响有助于指导色散物镜的设计。光谱共焦中的光学像差程度与照明场位置相关,使得完整的表征复杂。
这里,假设在针孔照明场上进行等平面成像,因为照明针孔的尺寸远小于出射光瞳的尺寸,这表明在针孔照明场上单色像差的程度相同。该假设适用于点、线和全场测量的光谱共焦传感器。

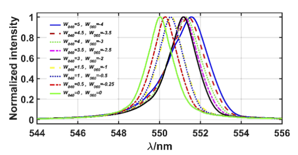
图5. 不同球差程度的光谱共焦信号
在色散位置L=2000µm处,绘制了具有不同程度球差的光谱共焦信号(见图5)。当增色物镜有少量球差时,信号形状几乎不变。随着球差程度的增加,光谱共焦信号变得不对称和展宽。如果球差程度超过极限,则光谱共焦信号具有显著失真。这两种情况下的球差均方根值(W040=5,W060=−4和W040=4.5,W060=−3.5)分别为0.48和0.43,但是,相应的“不对称程度”显著不同,这意味着球差均方根值的微小增加可能导致光谱共焦信号的显著不对称。因此,在增色物镜的光学设计中,需要仔细控制球差的程度。

图6.不同色散位置不同球差的二维光谱信号中的位移波长曲线(a):像差系数平均值W040=3,W060=−2,像差系数变化20%;(b):像差系数平均值SW040=3,W060=−2,像差系数变化40%;(c)。像差系数平均值SW040=4,W060=−3,像差系数变化20%。
当色散物镜在不同的色散位置具有不同程度的球差,由此绘制了2-D光谱信号以及像差系数的变化,如图6所示。假设像差系数随色散位置线性变化。可以看出,位移-波长关系的实际形状偏离理想形状。此外,像差系数的较大变化,或振幅变化相同的较大平均系数,会导致与理想位移-波长关系的较大偏差,如图6(b)和图6(c)所示。因此,在光学设计过程中,需要注意像差系数与色散位置的一致性。

图9.设计制作的光谱共焦探头实物。
总结来说,文章提出了一种考虑照明针孔尺寸和位移-波长关系的彩色共模二维非傍轴光谱信号模型。该模型几乎不需要光学设计布局的先验知识。利用该模型,描述了强度-波长位移特性,并说明了设计参数(包括共焦装置的尺寸特性、色散特性和单色像差)的影响。并采用了设计实物进行实验(图9),验证了仿真模型和讨论结论的有效性。
论文标题:Two-dimensional spectral signal model forchromatic confocal microscopy

