摘要:该文构建了覆铜板激光传感器在线动态扫描测厚系统。采用直射式三角激光位移法的激光传感器实现覆铜板在线测量。针对扫描测厚产生的振动噪声实现五层小波和递推最小二乘去噪的设计。实验结果表明:该技术相比于多尺度小波或RLS去噪更适合于覆铜板厚度测量。
关键词:覆铜板;激光;小波;递推最小二乘
0 引言
目前,在覆铜板生产过程中,离线式手工操作测厚会造成铜箔表面被污染、划伤以及生产效率低等一系列问题,因而无法实时控制生产过程,影响了产品的质量。而国外设备价格昂贵,因此提高国产覆铜板检测设备的性能和自动化程度,能极大推动我国覆铜板行业的发展。为了解决上述问题,本文构建了覆铜板激光传感器在线动态扫描测厚系统。
1 在线扫描测厚系统的方案设计
在图1中,激光传感器采用直射式三角激光位移法实现覆铜板在线测量。构建了动态扫描系统,控制C型移动机构运动,使激光传感器完成对覆铜板的动态扫描。

图1伺服电机驱动激光传感器测厚示意图
图2所示给出了基于激光传感器在线动态扫描测厚系统的方案。测量系统采用激光传感器作为光电转换元件。用数据采集卡获取光学传感器采集的覆铜板厚度数据,通过DSP实现滤波去噪,完成对覆铜板厚度的测量。采用DSP对C型支架驱动电机的控制,完成激光传感器对覆铜板的动态扫描测厚功能。与此同时,通过工控机实时显示并记录厚度、监视产线的运行状态,并通过网络接口完成对远程服务器的数据交换。

图2在线扫描测厚系统示意图
2 振动噪声的抑制
2.1 C型移动机构的振动频率
在覆铜板在线检测装置中,影响检测精度的因素是多方面、复杂的。其中,由于检测装置内部因素及外界温度引起的误差称为静态误差,而由于导轨受力、摩擦以及外界振动干扰引起的误差称为动态误差。对于静态误差,可以用标准件标定的方法予以消除。由实验可知,C型移动机构的振动频率在不同扫描速度下一致且频率主要集中在130Hz以下。因为较高频率的振动激励被C型机构衰减到较小值,而较低频率的振动激励因为与C型机构固有频率相近而放大。因此,对检测精度影响较大的为低频率振动。
2.2 振动噪声抑制的设计
传统的动态误差处理方法多侧重于时域、频域和小波域,时域、频域响应时间较快但滤波性能一般,小波域对高频噪声有较好的抑制能力,而对低频噪声的作用不大。
针对上述问题,本文提出基于多尺度小波和递推最小二乘法(RLS,recursive least-squares)的联合去噪方法来实现覆铜板激光测厚。其中,RLS去噪可以削弱和膜厚特征很接近的低频噪声分量,联合去噪则可以进一步提高测量精度,满足实际生产的需要。
小波理论以时频分析与多尺度分析特性成为非平稳信号处理的有效工具。采用正交小波变换时,任意平方可积的信号可用多尺度分解公式表示为:

式(1)中,φj,k=2-j/2φ(2-jt-k)为尺度函数;φj,k=2-j/2φ(2-jt-k)为小波函数;j为分解层数。
分解系数cj,k和dj,k分别称为离散平滑近似信号和离散细节信号,递推公式分别为:
式(2)中,h0和h1分别为低通数字滤波器和高通数字滤波器的单位抽样响应。
检测信号中的动态误差主要含振动频率误差成分。对于振动误差,一般表现为高频信号;而有效的膜厚表现为低频信号。在抑制误差时,强制消噪高频成分,令高频段的小波分解系数为零,以消除振动误差的影响。最后将有效频段中的信号进行重构,得到误差抑制处理后的被测膜厚分布信号。实验表明:选择3层小波分解尺度以及基于db4小波基函数的检测重构误差最小,可有效区分误差和膜厚信号。
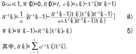
RLS算法即递推最小二乘法,用来削弱和膜厚特征很接近的噪声分量。其原理是观察系统在一段时间内的输出来预测误差信号的平均功率,使该平均功率达到最小。定义代价函数为:

式(3)中,a称为遗忘因子,通常取0<a≤1。为了使代价函数取得最小值,可通过对权向量W求导,并使其等于零。由其递推关系,可获得基本迭代算法如下:

实际的覆铜板测厚数据中往往存在特征频率较低,需要同时抑制高频和低频噪声的情况。在这种情况下,可以将二者结合滤波,会取得更好的效果。
3 试验结果分析
3.1 小波去噪
当覆铜板静止,C型机构以不断增加的扫描速度v1到v7往返移动时,工业实际生产的单面和双面覆铜板测量数据如图3所示。其中,横坐标为扫描时间,纵坐标为厚度(毫米)。

(a) 单面覆铜板

(b) 双面覆铜板
图3不同扫描速度测厚数据
(自上到下速度分别为v1~v7)

(a)单面1~7层信号(速度v3)

(b) 单面1~7层信号(速度v7)
图4速度固定时小波处理后数据
(自上到下为原始数据和小波1~7层处理后数据)
由图3可以看出,随着速度的增加,扫描机构的动态振动使得测量数据的非平稳性逐渐增强。在实际测厚中,综合考虑扫描速度和振动的影响,速度一般选择v3。由图4可知,第6~7层小波分解重构数据中已经很难分辨出覆铜板的实际厚度分布。而第5层小波重构数据,既能体现覆铜板的实际分布又可以得到相对平滑的有效厚度。
3.2 小波和RLS联合去噪
在图5中,自上而下分别为原始数据、5层小波去噪、小波去噪、RLS去噪和联合去噪后数据。如表1所示,比较图5中单双面覆铜板三种去噪方法和结论可知,联合去噪在图形显示上明显优于RLS去噪,联合去噪方法的均方差在4种状态下均低于原始测厚数据和小波去噪的均方差,说明联合去噪方法使测厚数据偏离平均膜厚的程度较小。联合去噪的输出数据要比单一小波去噪或RLS去噪输出数据的平稳性更明显一些。因此,不同覆铜板状态和扫描速度下联合去噪方法比单一地用小波或RLS去噪方法性能更好。高频噪声因为小波方法的使用抑制得很彻底,和薄膜厚度特征很接近的噪声分量也因为RLS方法的滤波特性得到了一定的抑制,因而采用两种方法相结合的处理较为理想。

(a) 单面v3

(b) 单面v7

(c) 双面v3

(d) 双面v7
图5单、双面覆铜板测厚数据
(从上到下依次为原始数据、5层小波、RLS处理和混合处理后输出数据)
表1不同状态下的均方差比较

4 结论
本文构建了基于激光位移传感器覆铜板在线动态扫描测厚系统。采用直射式三角激光位移法的激光传感器实现覆铜板在线测量。构建了动态扫描系统,控制C型移动机构运动,使激光传感器完成对锂电池涂层的动态扫描。针对扫描测厚产生的振动噪声采用五层小波和递推最小二乘去噪算法实现去噪。实验结果表明:联合去噪技术相比于多尺度小波或RLS去噪更适合于覆铜板膜厚测量。
论文标题:Research on Vibration Noise Reduction inthe Measurement of Copper-clad Plate by Laser Displacement Sensor

