摘要:光谱共焦位移传感器是一种以波长信息反映位移变化的非接触式光电位移传感器,色散镜头是传感器重要组成部分,其轴向色散与波长之间的线性度和色散范围会影响系统整体性能。为产生较大的线性轴向色散和良好的线性度,文章阐述了光谱共焦位移传感器的基本原理,分析了轴向色散与玻璃材料及波长之间的关系,使用ZEMAX光学设计仿真软件的多重结构功能,设置评价函数操作数进行优化得到了一个镜头组。镜头组采用正负透镜组分离结构,在486~656nm波长范围内,色散范围约为1mm,各个单色波长在其焦点位置产生最大的RMS半径为1.552µm且达到衍射极限,同时波长色散离焦量与波长之间通过线性拟合所得判定系数R2为0.9976,理论分辨率为5nm,镜头在产生大的色散范围同时也拥有着良好的线性性。
关键词:光谱共焦;位移传感器;色散镜头;离焦量;多重结构
0 引言
随着精密仪器制造业的发展,人们对于工业生产测量的要求越来越高,希望能够生产出具有精度高、适应性强、实时无损检测等特性的位移传感器,光谱共焦位移传感器的出现,使问题得到了解决,它是一种非接触式光电位移传感器,测量精度可达亚微米级甚至于更高,对于杂光等干扰光线,传感器并不敏感,具有较强的抵抗力,适应性强,且其在体积方面具有小型化的特点,因此应用前景十分广泛。
光学色散镜头是光谱共焦位移传感器的重要组成部分之一,镜头组性能参数对位移传感器的测量精度与分辨率起着决定性的作用,国外的Sarah L. Dobson等利用光波段为800~900nm的可调谐激来分光,在波长调谐范围为100nm时,分别实现了55µm和25µm的轴向位置变化, K. Shi等在7µm测量范围中得到了测量精度为1µm的实验结果。国内对此也进行了不少研究:武芃樾等在486.13~656.27nm的光波长范围下,设计了一款轴向色散与波长之间的线性度为0.99523的色散镜头,但其量程仅为91µm;刘乾在工作范围为500~700nm的波长范围下达到了1mm、理论分辨率优于0.5µm的色散物镜,但其轴向色散与波长之间的非线性度为4.6%,对测量精度与分辨率产生较大的影响;田雨设计了一款线性度评价系数为0.9972,色散镜头测量量程却为150.34µm的色散镜头组。
以上研究结果中当色散范围较大时,轴向色散与波长之间线性度较弱,当达到较好线性性时色散范围又相对较小。轴向色散与波长之间的线性性与色散范围同时影响着系统在测量范围内的灵敏度以及分辨能力,由于玻璃的折射率与波长之间是非线性的关系,若仅采用一种材料的透镜设计物镜,其两者关系必定非线性,衍射光学元件色散与波长之间呈线性关系,但其存在较大的球差,须配以透镜来进行矫正。因此,设计轴向色散与波长之间呈线性关系的折射镜头至关重要。在保证大色散范围的同时拥有好的线性性是被需要的。本文根据光谱共焦位移传感器的基本原理及测量需求对其光学色散镜头进行了分析,给出了设计过程及相关参数,最终得到了色散范围为1mm,色散离焦量与波长之间线性系数R2为0.9976的实验结果。色散镜头在达到毫米级别的色散范围时,轴向色散与波长同时有高的线性度,传感器性能得到提高。
1 光谱共焦位移传感器原理
光谱共焦位移传感器基本原理如图1所示,由光源、分光镜、光学色散镜头组、小孔以及光谱仪等部分组成。传感器通过色散镜头进行色散,将位移信息转换成波长信息,使用光谱仪进行光谱分解得出波长的变化信息,再反解得出被测位移。其中色散镜头作为光学部分完成了波长和位移的一一映射,实现了波长和位移之间的编码转化。光谱仪则实现波长的测量及位移反解输出。当光谱信息突破小孔的限制,借助平面光栅、凹面反射镜进行光线的衍射和汇聚,最后将反射出来的汇聚光照射在线阵CCD上进行光电转换,借助光谱信号采集实现模数转换,最终通过解码得到位移信息。

图1 光谱共焦位移传感器系统原理
当点光源发出波长为λ1~λn的复色光谱经过光学色散镜头时,不同波长在光轴方向上形成不同的焦点光斑。波长为λn的光波在光轴上产生距镜头轴向距离为Dn的焦点光斑,波长越长,其在光轴上产生的焦点光斑与镜头之间的轴向距离越远,最大轴向距离与最小轴向距离之差便是光焦点范围即为色散范围。如图2所示,在理想情况下两者之间存在线性关系的编码。

图2 镜头对光谱的色散
光通过分光镜、色散镜头到达需要检测的物体时,此时物体表面存在着所有的光谱信息,由于被检测物体的表面会散射掉入射的光束,散射的光会以原入射光路相反的光路返回,再次通过这些光学透镜到达光谱仪。但这些返回回来的光谱信息并不全部是想要的有用信息光谱,此时针孔就用来阻止除被测点之外的所有光束的进入。当被测样品在光焦点范围内移动时,在每个确定的光焦点位置就形成了由波长及小孔所确定的唯一的共焦系统。其他波长所产生的光谱信息由于光斑尺寸大,能量分布较分散,被阻拦在外,通过针孔的光通量小。光谱经过小孔,到达光谱仪,焦点在被测物体表面上的光波长在光谱仪中表现为波峰,得到波长信息,最终通过波长与位移的关系解码得到位移信息得出被测物的位置。
2 光学设计
对光谱共焦位移传感器原理进行理解与分析得出,想得到的理想镜头应该具备以下性能:首先需要其产生较大的轴向色差,通常需要对镜头进行消色差措施,而对于此传感器需要利用其色差进行测量,并且还需将其扩大化,其次产生轴向色差后在轴上的焦点会由于单色光球差的问题导致光谱曲线响应FWHM(Full Width at Half Maximum)变大,影响分辨率,同时为确保单色光在轴上汇聚点单一,需要对其球差进行控制,最后为使此位移传感器从原理上保证传感器的线性度,平衡传感器各个聚焦位置的灵敏度,应尽量使焦点位置与波长成线性关系。
对于产生轴向色散有两种选择:使用衍射元件产生较大的轴向色散,或者使用高色散透镜折射产生轴向色散。衍射元件可以产生较大的色散范围,但由于其衍射效率的限制,需要其他透镜来消除球差,加工过程中难以操作成本较高,因此选择利用高色散透镜折射产生色散作为色散物镜的设计基础,则对于此折射物镜来说其轴向色散与波长之间的线性性的设计至关重要。
2. 1 材料的色散特性
光学材料都存在色散问题,色散公式是用介质的折射率n或色散率与波长λ的关系来描述色散规律,常用肖特公式表示为n2=A0+A1λ2+A2λ-2+A3λ-4+A4λ-6 + A5λ-8式中,λ为波长,单位为um;A0~A5为色散常数,不同λ材料对应着不同的色散常数。简单的单个透镜无法得到像距随波长呈线性变化的结果,因此采用多片透镜来进行组合实现。
2.2 光学性能参数分析
选用白光LED作为光源,根据光电接收器件的光谱响应特性,在波段为486~656nm的可见光波段时其光谱响应特性较连续、平缓,因此选用光波段486~656nm的可见光作为工作波段,选择冕玻璃和重火石玻璃的组合作为色散透镜的玻璃材料,重火石玻璃阿贝数小,色散能力大采用正负透镜组分离结构组合形成镜头组,由于球差的存在需要对球差进行控制,非球面透镜可以有效地避免这个问题,但出于镜头加工的成本考虑,选择普通的球面镜来组成色散物镜镜头组,为此使用凹凸透镜补偿法来消除球差,凸面提供正的光焦度,提供正的球差,凹面提供负的光焦度,提供负的球差,所用玻璃为H-K9和H-ZF2并为每种玻璃分配光焦度以降低球差。
为满足上述要求选择H-K9玻璃和H-ZF2透镜作为初始结构,入瞳直径设为6mm,镜头组初始有效焦距为10mm,镜头视图如图3,其结构参数为表1所示。
表1 镜头初始结构参数


图3 镜头视图
2.3 结构优化
采用ZEMAX光学设计仿真软件进行优化,由于色散镜头工作的每个波长的单色波都要进行球差的矫正,以确保单色光在轴上汇聚点单一,使用ZEMAX软件中的多重结构进行优化,选择波长作为参数,以各个波长在光轴上焦面位置到镜头组的最后一面的距离为变量,在光波波段为486~656nm范围内进行平分处理,设置了11组的变量参数,如图4所示。

图4 多重结构
同时设置评价函数,选取默认评价函数中的光斑半径的RMS半径为标准,设置多重结构参数确保其使色焦移与波长成线性关系,同时加入EFFL操作数、边缘光线角度来综合控制,使各波长在其焦点位置处的弥散斑更小,评价函数如图5所示。

图5 评价函数
用不同多重结构代表不同波长,在不同多重结构中优化不同波长的后焦距之间的比例关系,得到每两个相邻波长焦面位置到镜头组最后一面的距离之差,使差值之间比值为1,用评价函数控制不同多重结构的后焦距,控制色散范围进行一步步优化处理。
由于光谱共焦位移传感器并不是对物体成像,只关心其成像的点的大小,并不关心其成像图像的清晰、畸变、像散等问题,因此只选取各波长对应近轴焦面的点列图对系统进行评价。
3 设计结果与分析
设计后的镜头使用H-K9L和H-ZF4A玻璃采用fdc波段光作为光源波,d波为主光波,镜头组的有效焦距为10mm。色散范围为1mm,对该透镜的轴向色差与波长进行线性拟合得到其R2=0.9976。进行优化后镜头参数如表2所示,优化后镜头2D视图如图6所示。

图6 优化后镜头视图
表2 优化后镜头参数

优化后的色散范围如图7所示。

图7 色散范围
由图可以看出随着波长的增大,其在轴上光焦点距离色散镜头越远,其在工作光波段内的色散范达到了997.1072µm,基本上达到了毫米的色散范围。
对所产生的波长与光焦点位置的样本点线性拟合如图8所示,得出其线性度达到0.9976,有很好的线度。

图8 样本点线性拟合图
对优化前后产生的球差参数进行比较统计如表3所示,发现优化后的总球差小于优化前的球差,镜头的球差得到了控制,确保单色光在轴上汇聚点单一,分辨率得到提高。
表3 优化前后球差参数

弥散斑大小作为聚焦效果的评判标准,当弥散斑大小小于艾里斑大小时达到衍射极限,精度较高,聚焦效果良好,各波长在不同离焦量处的弥散斑大小如下图9所示。

图9 fdc光波不同离焦量处弥散斑大小
由以上的图片对比得出对于光波在其聚焦位置处弥散斑最小,随着与聚焦位置的远离其弥散斑越来越大。
在ZEMAX中对透镜进行PSF(Point Spread Function)的分析对fdc光波分别进行分析如图10

图10 fdc光波下点扩散函数

图11 f、d、c 光波点列图
各波长在焦点位置处点列图如图11所示,可以看出在各光波长在其光焦点位置处弥散斑小于艾里斑大小达到衍射极限。
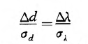
分析可知系统位移分辨率与传感器系统光谱工作范围、测量范围以及光谱仪分辨率有着如下的关系

式中,Δd是传感器位移测量范围;δd为系统分辨率;Δλ是传感器系统光谱的工作范围;δλ是光谱仪分辨率,市面上已有分辨率可达10-3nm的光谱仪,则由上式可得

因此在分辨率为10-3nm光谱仪的配合下系统分辨率可达到5nm的测量精度,同时传感器在保证大的色散范围时也拥有着良好的线性性。
4 结论
光谱共焦位移传感器作为一种新型位移传感器,因为其测量精度高,对于杂光等干扰光线传感器不敏感具有较强的抵抗能力等特点,应用前景十分广泛。文章通过对原理的分析,设计了一款色散镜头使用H-K9L和H-ZF4A玻璃,采用正负透镜组分离结构组合形成镜头组,使用凹凸透镜补偿法该镜,在486,.._,656nm波长范围内,色散范围约为焦量与波长之间通过线性拟合所得其线性性达到0.9976,很好的平衡了传感器各个聚焦位置的灵敏度,配以合适的光谱仪,传感器的分辨率可达到5nm的测量精度。符合设计要求产生了较大的线性轴向色散,在保证大色散范围的同时轴向色散与波长之间也存在着好的线性性。
参考文献:
[1] Molesini G,Pedrini G, Poggi Pet al. Focus-wavelength encoded optical profilometer [ J] .Optics Communications 1984, 49 (4):229—233.
[2] Sarah L Dobson, Pangchen Sun, Yeshayahu fainman. diffractive lenses for chromaticconfocal imaging [J ]. APP. Opt. , 1997,36(20) , 4744- 4748.
[3] 武亢钺光谱共焦位移传感器设计技术研究[ D]. 北京:中科院物理研究所机械制造与自动化学科硕士学位论文,2012.
[4] Shi Kebin, LiPeng, Yin Shizhuo et al. Chromatic confocal mi croscopy using supercontinuumlight[J]. Optics Express2004, 12(10): 2096—2101.
[5] 王津楠.光谱共焦位移传感器研究与设计[ D]. 哈尔滨:哈尔滨工业大学硕士学位论文,2016.
[6] 朱万彬,钟俊,莫仁芸,等.光谱共焦位移传感器物镜设计[J ]. 光电工程,2010, 37(8) ,62-66.
[7] Miks A, Novak J, Novak P. Theory of hyperchromats with linearlongitudinal chromatic aberration [J]. Proc. of SPIE,2005, 5945, 59450.
[8] 刘乾,杨维川,袁道成,等.光谱共焦位移传感器的色散物镜设计[J]. 光电工程,2011 , 38(7) :131—1 35.
[9] 武亢钺,袁道成.光谱共焦位移传感器镜头设计研究 [J ].工具技术,2012, 46 (2) ,81—8 3.
[10] Shi Kebin, Li Peng, Yin Shizhuo et al.Surface profile measurement usingchromatic confocal microscopy [J ]. Proc. of SPIE, 2004, 5606: 124—1 31.
[11] 刘乾,杨维川,袁道成,等.光谱共焦显微镜的线性色散物镜设计 [J]. 光学精密工程,2013, 21(10) :2473一 2479.
[12] 田雨,刘宾.光谱共焦位移传感器色散设计[J]. 光学技术2018, 44( 3) , 381一385.
[13] Duque D,Garzon J. Effects of both diffractive element and fifiber optic based detectorin a chromatic confocal system [J]. Optics & Laser Technology,2013(50): 182一 189.

