钙钛矿太阳能电池作为第三代光伏技术,其理论的光电转换率极限可达45%,远超晶硅电池的29.4%。然而,效率的实际表现高度依赖于钙钛矿吸光层的结构设计,其中厚度是最关键的参数之一。过薄的钙钛矿层因吸光不足导致短路电流密度降低;过厚的层则因载流子复合加剧而降低开路电压和填充因子。这一矛盾揭示了厚度优化的核心挑战,即在光吸收增益与载流子传输损失之间如何寻找平衡点。今天,小创就将为此展开深度解析。

厚度影响效率的物理机制
光捕获能力与厚度的正相关性
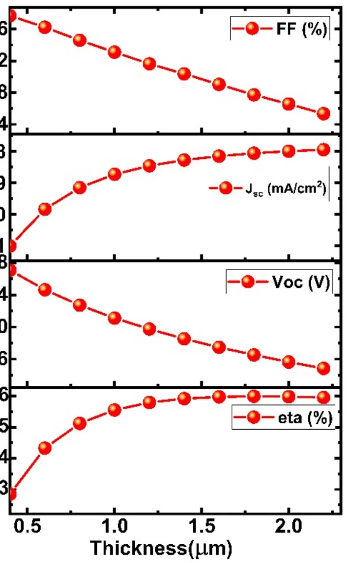
钙钛矿层厚度增加可提升光吸收率,尤其对长波长光子(600-800nm)的吸收显著增强。研究表明,当厚度从300nm增至700nm时,短路电流因吸光量上升而急剧提高;超过700nm后增速放缓,但仍是弱光环境下提升效率的核心手段。这一现象源于光生载流子数量与厚度的正比关系,符合Lambert-Beer定律。
载流子传输的厚度阈值效应
厚度对载流子动力学的影响更为复杂。当钙钛矿层厚度超过载流子扩散长度时,也就是1μm时,光生电子-空穴对在抵达电极前复合概率激增,导致开路电压和填充因子下降。实验表明,厚度从400nm增至1000nm时,开路电压下降0.15V,FF降低约10%。此外,厚度增大了串联电阻,进一步限制电荷提取效率。

最优厚度的理论边界
通过器件模拟发现:效率峰值出现在400-600nm区间。例如,MASnBr₃基电池在500nm厚度时效率达峰值16.5%,偏离此值则效率骤降。此结果与Shockley-Queisser极限理论呼应:电池效率受限于吸光强度与复合速率的微观博弈。

反射膜厚仪——薄膜厚度控制与优化
薄膜厚度的精准控制
在钙钛矿太阳能电池的规模化生产中,薄膜厚度的精确控制是提升器件性能和生产稳定性的核心环节。反射膜厚仪通过光学干涉原理或光谱反射法,可实时监测钙钛矿薄膜的厚度及光学常数,其测量精度可达<1%(100次连续测试)。这种高精度测量技术不仅能够弥补传统方法的不足,还能在生产线上动态反馈工艺参数,例如前驱体浓度、旋涂速度及退火条件,从而优化钙钛矿薄膜的结晶过程与形貌。
薄膜厚度的性能优化
研究表明,钙钛矿薄膜厚度直接影响器件的光电转换率。当厚度小于400mm时,效率高度依赖膜厚;而超过此值后,薄膜形态(如晶粒尺寸,缺陷密度)成为关键因素。通过反射膜厚仪的实时监测,可精准调控薄膜厚度至目标值(如1.4M至2.0M前驱体浓度对应的4-4.4μm范围),避免因厚度不均导致的串联电阻增大或填充因子下降问题。此外,该技术还能辅助应力调控策略,通过降低晶格缺陷密度提升载流子的扩散速度,进一步增强器件的稳定性和大面积制备能力。

超叠层电池中的厚度适配策略
钙钛矿-硅叠层电池中,顶电池厚度需兼顾透光率与吸光分配。仿真表明,钙钛矿层为600nm时,顶电池的短路电流达19.1mA/cm^2,同时保证足够红光投射至底电池,使叠层效率突破30%。若厚度减至400nm,顶电池吸光不足;增至800nm则底电池电流下降20%。值得注意的是,弱光场景如阴雨天需增厚至700nm以维持电流输出,而强光下500nm厚度可抑制热损失——这为智能自适应电池设计提供了理论依据。

钙钛矿电池厚度的优化本质是提升光电转换率,从而实现更接近理论极限。电池厚度过薄会导致光子逃逸,过厚则载流子湮灭,只有在纳米尺寸上精准控制物质结构,才能释放太阳能电池的最大潜力。创视智能生产的反射膜厚仪即可完美解决厚度测量问题,它能科学实现在纳米尺寸上对钙钛矿层厚度的精准控制,从而助力电池厂商生产出高质量的太阳能电池!