超薄玻璃作为一种厚度仅为数百微米乃至几十微米的特殊材料,以其独特的柔韧性、高透明度、优异的表面平整度和化学稳定性,在柔性显示、可穿戴设备、光伏产业和生物医学等高科技领域扮演着越来越重要的角色。然而,随着玻璃厚度的急剧减小,其宏观力学性能不再简单遵循传统大尺寸玻璃的规律。厚度从毫米级到微米级的转变,不仅仅是物理尺寸的缩小,更是材料内部缺陷、表面效应和应力分布等因素的重要主导。因此,深入探究超薄玻璃厚度对其力学性能的影响机制,对于优化其制备工艺、预测其失效行为、拓宽其应用边界具有至关重要的意义。

表面效应与超薄玻璃的力学性能
传统玻璃的力学性能通常由其内部的微观缺陷(如微裂纹、气泡)所主导,这些缺陷在受力时成为应力集中的源头,导致材料提前失效。然而,当玻璃的厚度减小到微米级时,表面效应的重要性被极大放大。

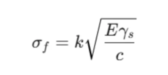
首先,超薄玻璃的表面积与体积比(S/V)远大于传统玻璃。这意味着表面状况,包括表面微裂纹、划痕、表面张力以及表面原子排列等,对整体力学性能的影响变得更为显著。根据格里菲斯(Griffith)裂纹理论,材料的断裂强度与裂纹尺寸存在以下关系:

其中,E为弹性模量,γs为表面能,k为几何因子。对于超薄玻璃而言,即使是纳米级的表面缺陷也可能成为致命的失效源。例如,在生产、搬运或使用过程中产生的微小划痕,在大尺寸玻璃上可能无关紧要,但在超薄玻璃上则可能直接导致其抗弯强度急剧下降。因此,如何通过化学强化、热处理或特殊表面涂层来有效钝化或消除表面缺陷,是提升超薄玻璃力学性能的关键。
其次,表面原子重构在超薄玻璃中也扮演着重要角色。与体相内的原子结构不同,玻璃表面的原子排列存在悬空键和不饱和键,这导致表面具有更高的能量和反应活性。这种高表面能会诱导表面微结构发生变化,进而影响材料的宏观力学响应。例如,一些研究表明,通过控制退火温度和时间,可以调控超薄玻璃的表面结构,使其表面应力得到有效释放,从而提高其断裂韧性。
内部缺陷分布与厚度效应
尽管表面缺陷在超薄玻璃中至关重要,但内部缺陷,如微气泡和不均匀性,仍然是影响其力学性能的不可忽视的因素。超薄玻璃的制备工艺,如溢流法(fusion-draw)和浮法(float-glass),对内部缺陷的控制有着极高的要求。

溢流法作为制备高品质超薄玻璃的主流技术,其核心在于熔融玻璃液从一个V形槽溢出,在底部汇合,形成无接触的自由表面,从而避免了传统浮法玻璃与锡液接触导致的表面污染和内部缺陷。这种方法使得超薄玻璃的内部缺陷密度和尺寸被严格控制在极低的水平,这对于确保其力学性能的均一性和可靠性至关重要。
然而,即使是溢流法制备的超薄玻璃,其内部也并非完美无瑕。微观应力不均匀性是另一个重要的内部因素。在玻璃冷却过程中,由于热膨胀系数差异或冷却速率不均,玻璃内部会产生残余应力。对于大尺寸玻璃,这种残余应力在厚度方向上通常呈现对称分布;但对于超薄玻璃,厚度方向的尺度与应力分布的特征尺度相当,导致残余应力的分布和大小对材料整体力学性能的影响更为直接和显著。
激光位移传感器在超薄玻璃中的应用
准确测量和分析超薄玻璃的力学性能是理解其影响机制的关键。传统的接触式测量方法可能因夹具带来的应力集中和划痕而引入测量误差。因此,非接触式测量技术在超薄玻璃研究中显得尤为重要。

在超薄玻璃的弯曲测试中,激光位移传感器可以用于以下几个方面:
实时检测弯曲形变
将激光位移传感器安装在弯曲测试装置上方,可以高精度、实时地监测超薄玻璃在受力过程中的挠度变化。通过结合载荷传感器的数据,可以得到超薄玻璃的载荷-挠度计算公式,从而精确计算其弹性模量和抗弯强度。
分析应变分布
通过在玻璃表面不同位置设置多个激光位移传感器,可以精确测量不同点的位移,进而推导出玻璃在弯曲过程中的应变分布。这对于验证有限元仿真模型、分析应力集中区域非常有帮助。
检测疲劳行为
在超薄玻璃的疲劳测试中,激光位移传感器可以长时间、高频率地监测样品的微小形变,帮助研究人员分析裂纹萌生和扩展的动态过程,为超薄玻璃的疲劳寿命预测提供关键数据。
激光位移传感器的非接触性特点,避免了传统传感器可能对超薄玻璃表面造成的二次损伤,保证了测量结果的准确性和可靠性。这使得研究人员能够更真实地捕捉超薄玻璃在不同厚度下的力学响应,从而更精确地分析厚度对其性能的影响机制。
超薄玻璃的力学性能并非简单地由其体积决定,而是厚度、表面效应、内部缺陷和应力分布等多种因素复杂耦合的结果。随着厚度的减小,表面效应变得愈发突出,表面缺陷和表面应力对材料整体强度的影响远超内部因素。因此,科学的控制厚度至关重要,激光位移传感器便可实现轻易解决这一难题,从而帮助玻璃厂商生产出高性能的玻璃。
*原文部分知识要点来自互联网平台!